Subjects
Online Tutoring
Homework Help
Homework Library
Tutors
Online Classes
More
Bookstore
Blog
Technical Tips
FAQ
Contact Us
Get Help Now
Home
Homework Library
Mathematics
Real Analysis
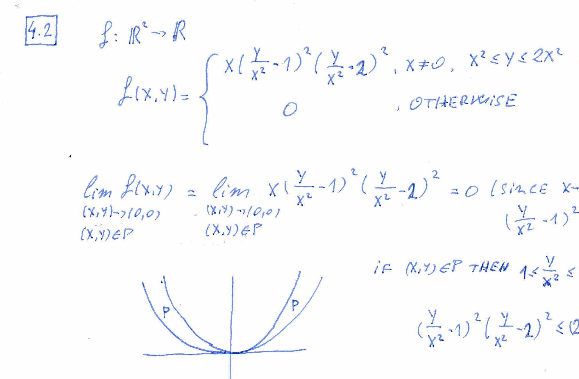
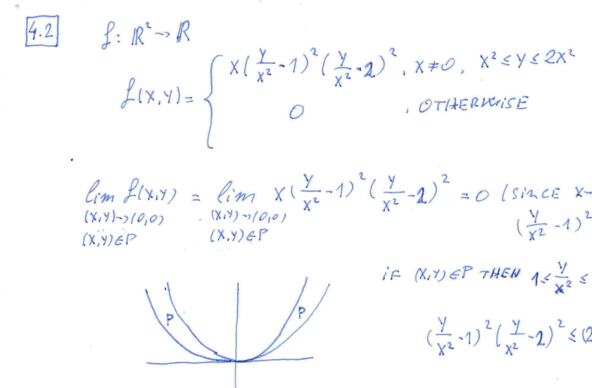
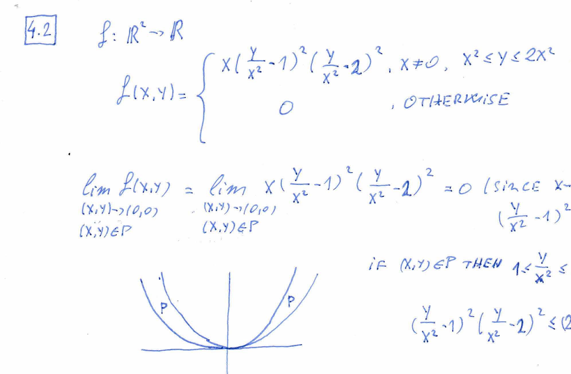
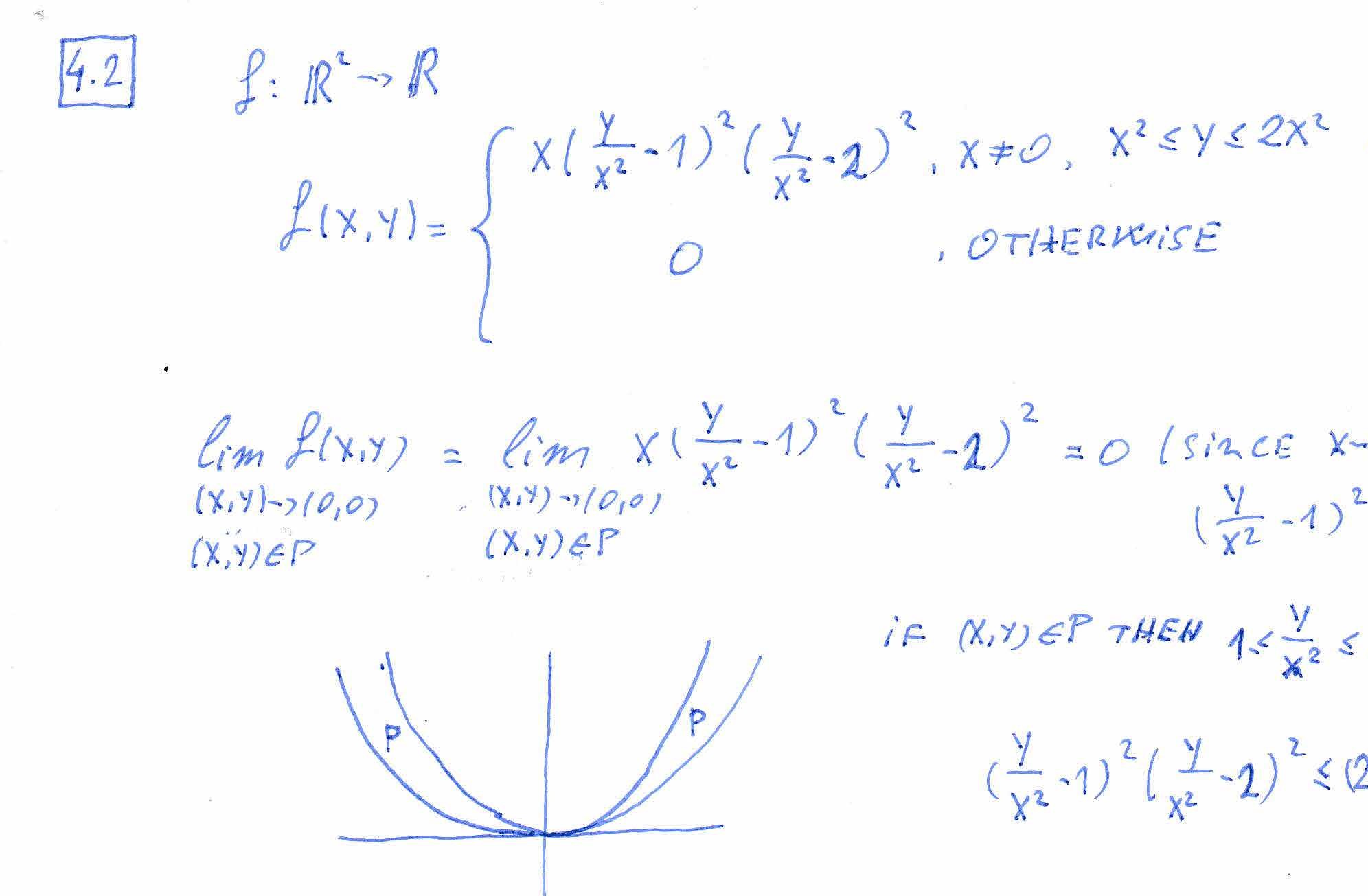
4.2. Define f R2-> by: f otherwise. (This is the same as an ex...
4.2. Define f R2-> by: f otherwise. (This is the same as an ex...