Subjects
Online Tutoring
Homework Help
Homework Library
Tutors
More
Bookstore
Blog
Technical Tips
FAQ
Contact Us
Get Help Now
Home
Homework Library
Mathematics
Real Analysis
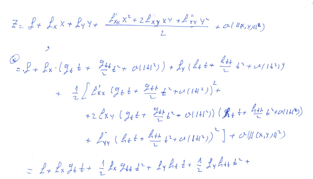
5.3. This problem works out a special case of part of the theorem i...
5.3. This problem works out a special case of part of the theorem i...