Subjects
Online Tutoring
Homework Help
Homework Library
Tutors
Online Classes
More
Bookstore
Blog
Technical Tips
FAQ
Contact Us
Get Help Now
Home
Homework Library
Mathematics
Real Analysis
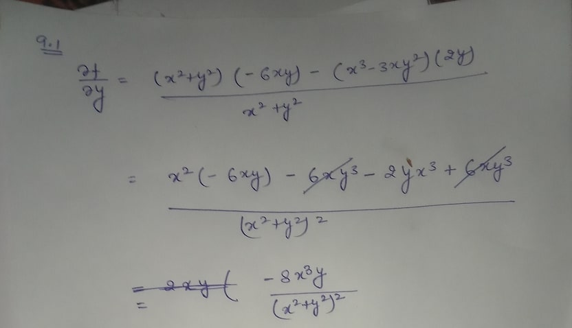
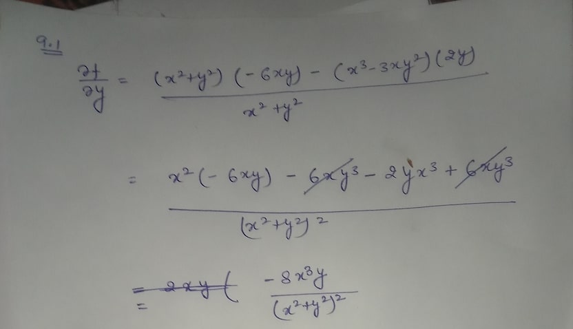
9.1. Define f : R² R by f(x,y) = = - 2 x2 + y2 , and f(0,0) ...
9.1. Define f : R² R by f(x,y) = = - 2 x2 + y2 , and f(0,0) =...