Subjects
Online Tutoring
Homework Help
Homework Library
Tutors
Online Classes
More
Bookstore
Blog
Technical Tips
FAQ
Contact Us
Get Help Now
Home
Homework Library
Mathematics
Real Analysis
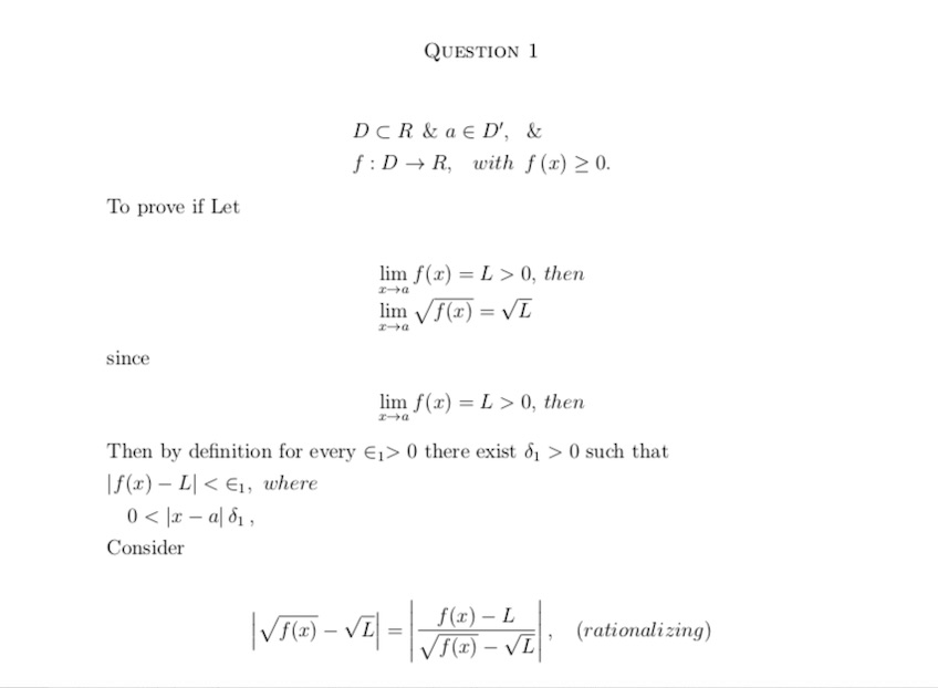
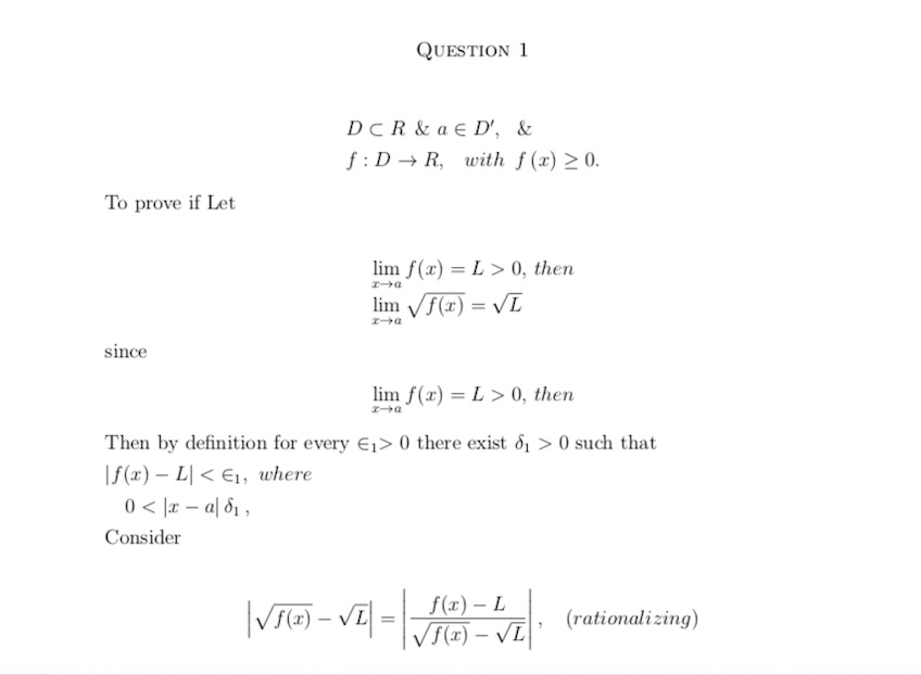
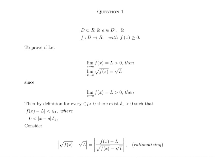
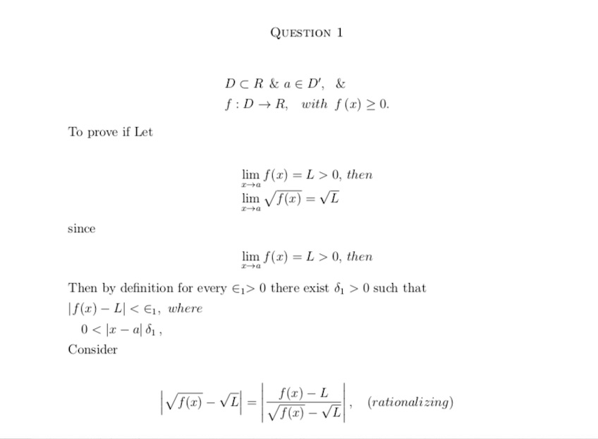
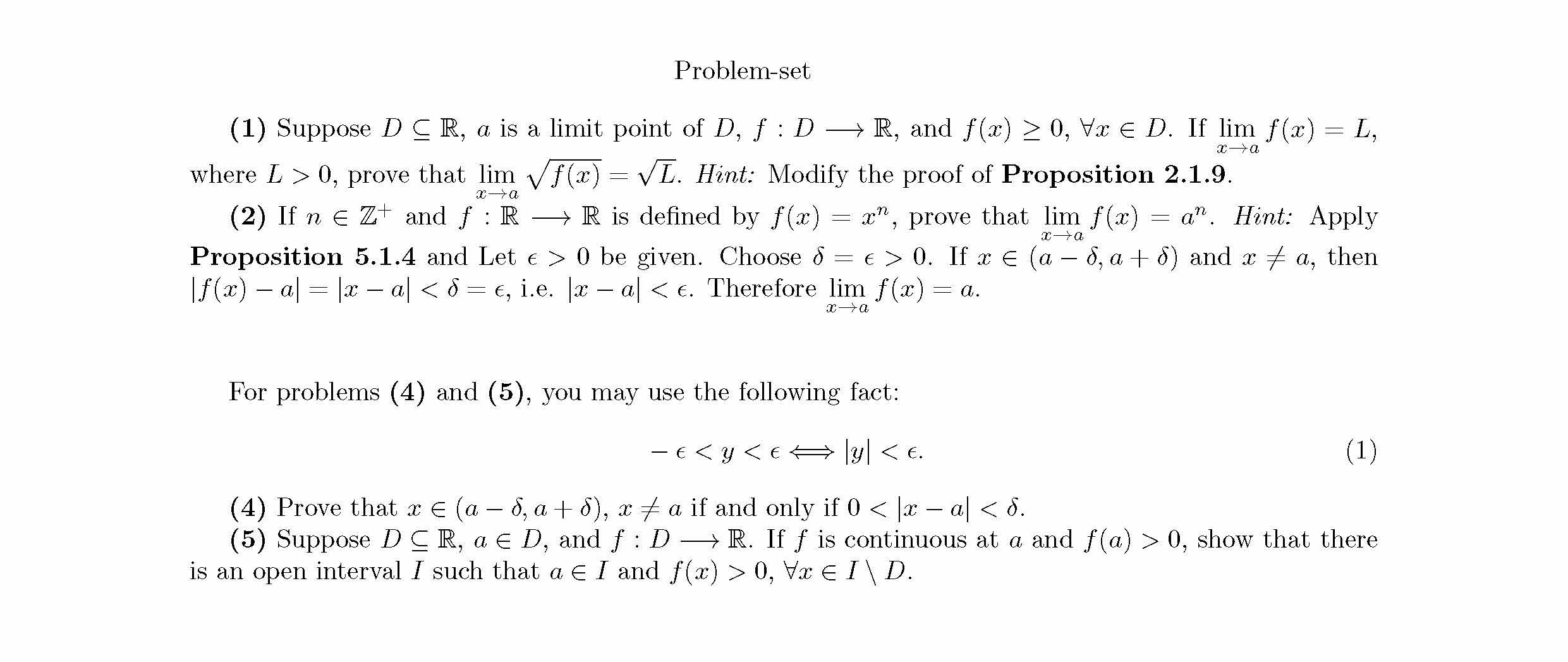
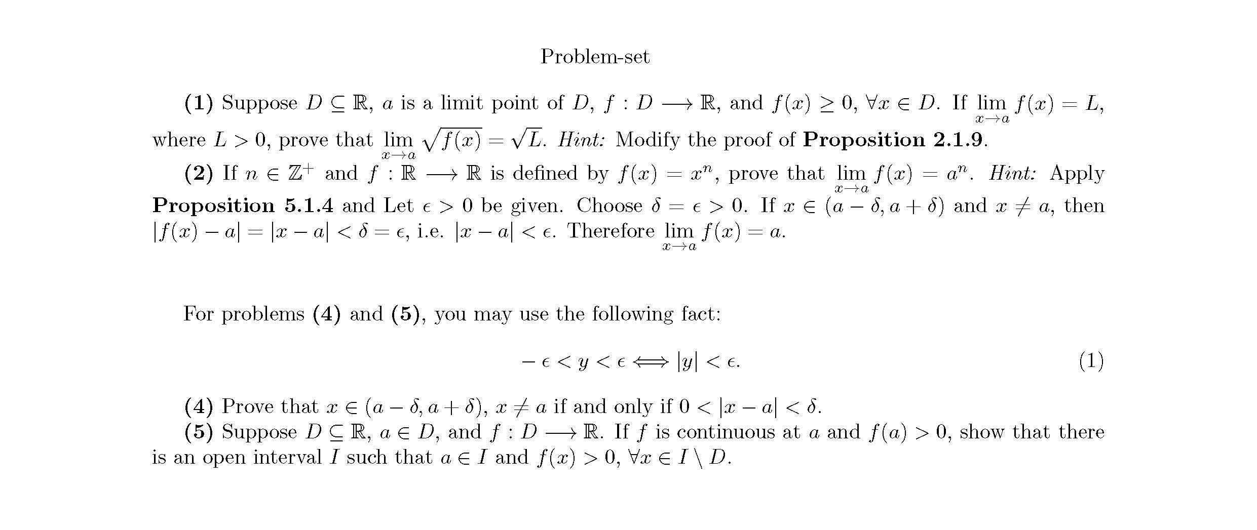
Problem-set (1) Suppose DCR, a is a limit point of D, f :D - R. an...
Problem-set (1) Suppose DCR, a is a limit point of D, f :D - R. an...