Subjects
Online Tutoring
Homework Help
Homework Library
Tutors
More
Bookstore
Blog
Technical Tips
FAQ
Contact Us
Get Help Now
Home
Homework Library
Mathematics
Real Analysis
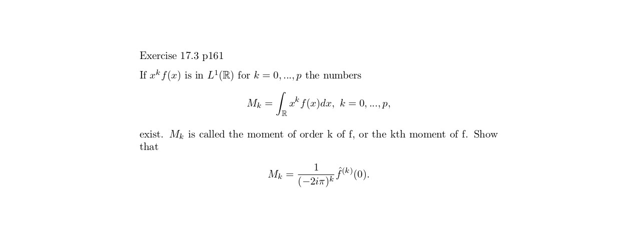
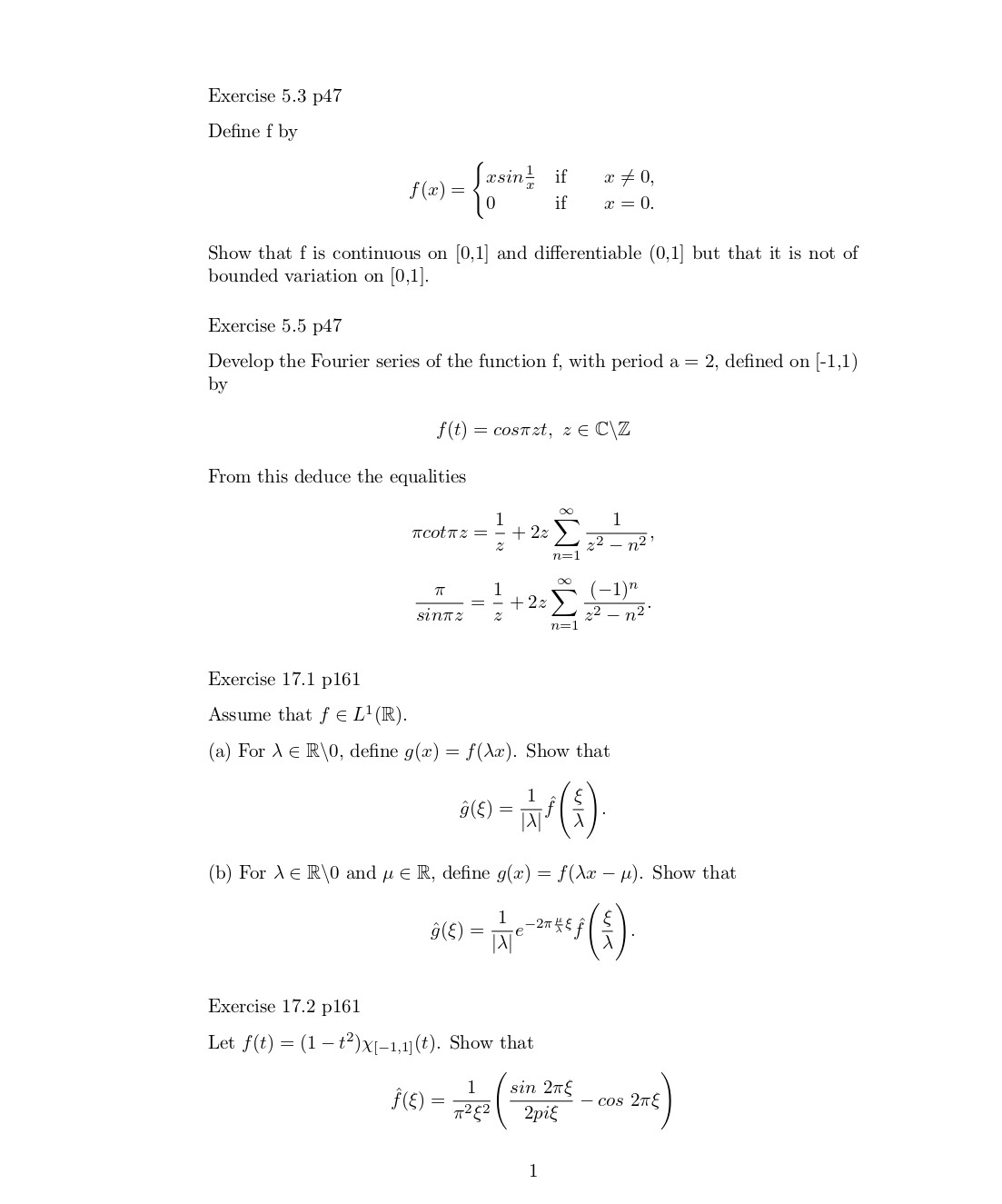
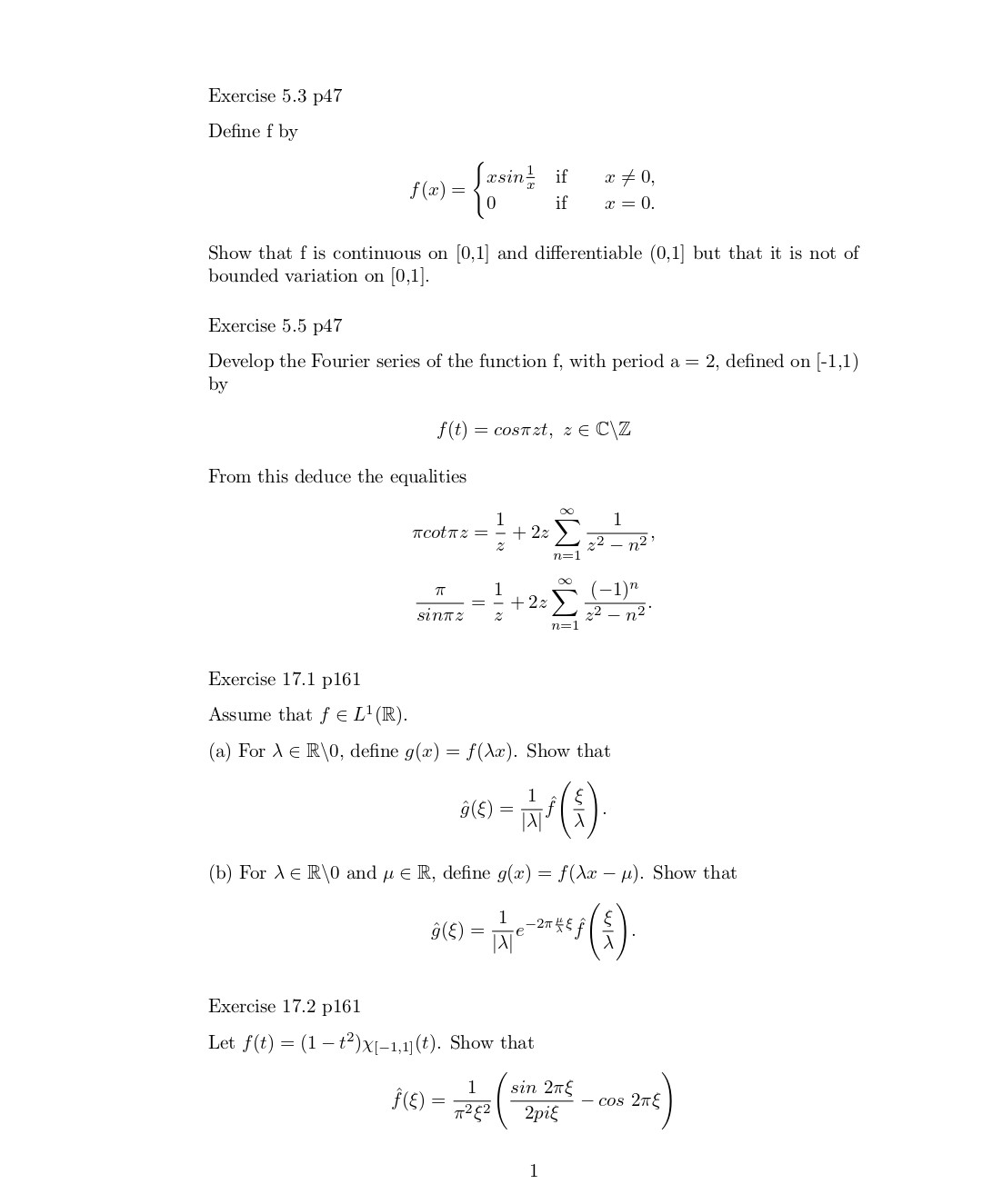
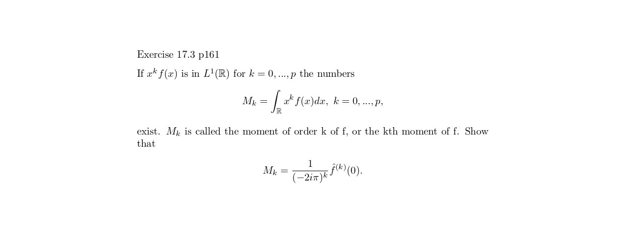
Exercise 5.3 p47 Define f by x=0. Show that f is continuous on [...
Exercise 5.3 p47 Define f by x=0. Show that f is continuous on [...