Subjects
Online Tutoring
Homework Help
Homework Library
Tutors
More
Bookstore
Blog
Technical Tips
FAQ
Contact Us
Get Help Now
Home
Homework Library
Mathematics
Set Theory
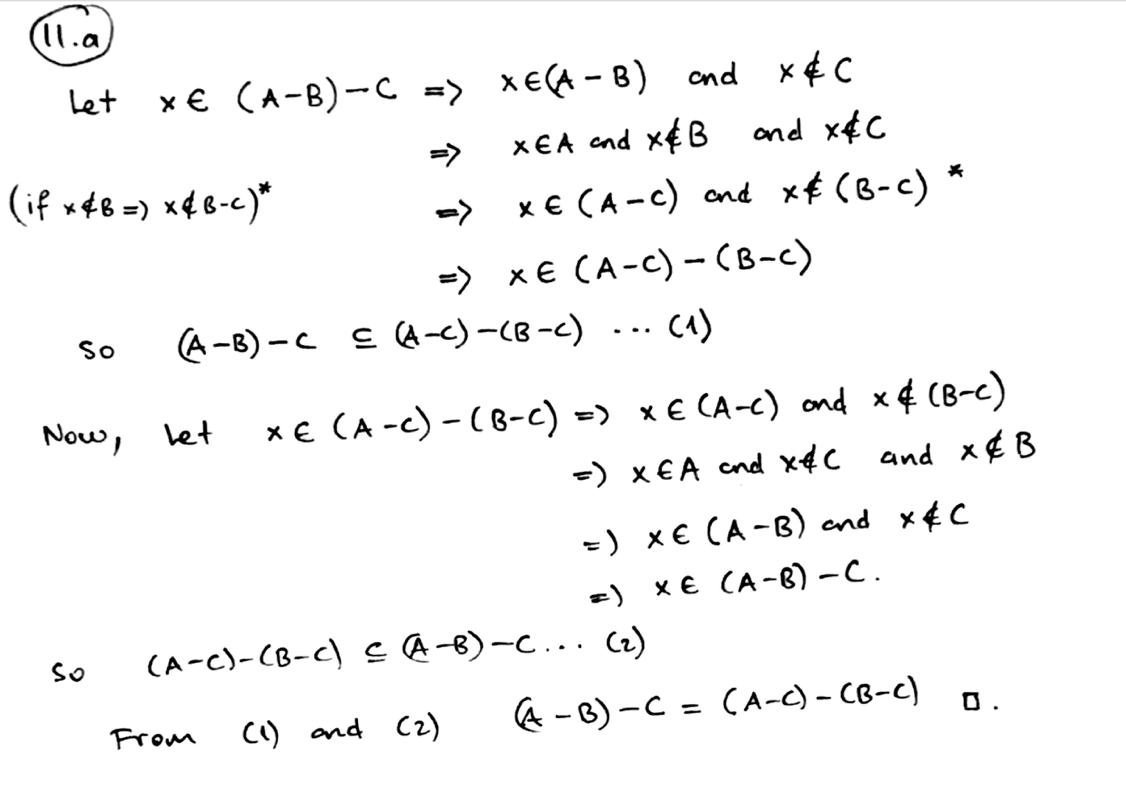
11. Let A,B, C and D be sets. Prove that (a) (A-B)-c=(A-C)-(B-C) ...
11. Let A,B, C and D be sets. Prove that (a) (A-B)-c=(A-C)-(B-C)...