Subjects
Online Tutoring
Homework Help
Homework Library
Tutors
Online Classes
More
Bookstore
Blog
Technical Tips
FAQ
Contact Us
Get Help Now
Home
Homework Library
Mathematics
Set Theory
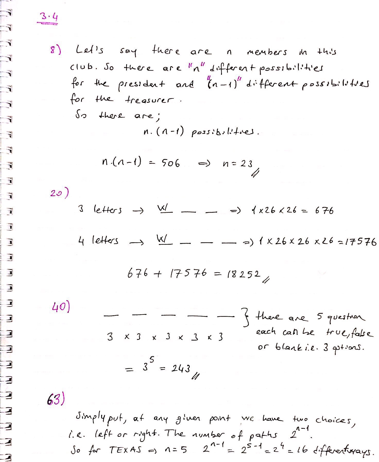
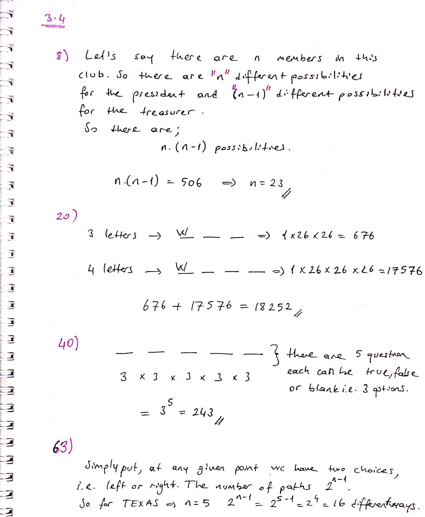
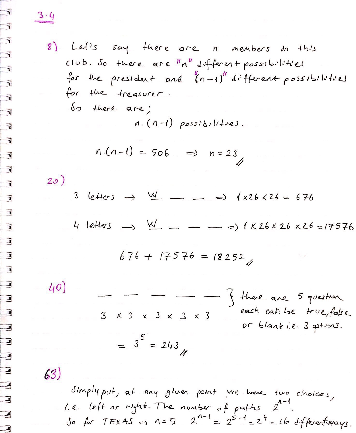
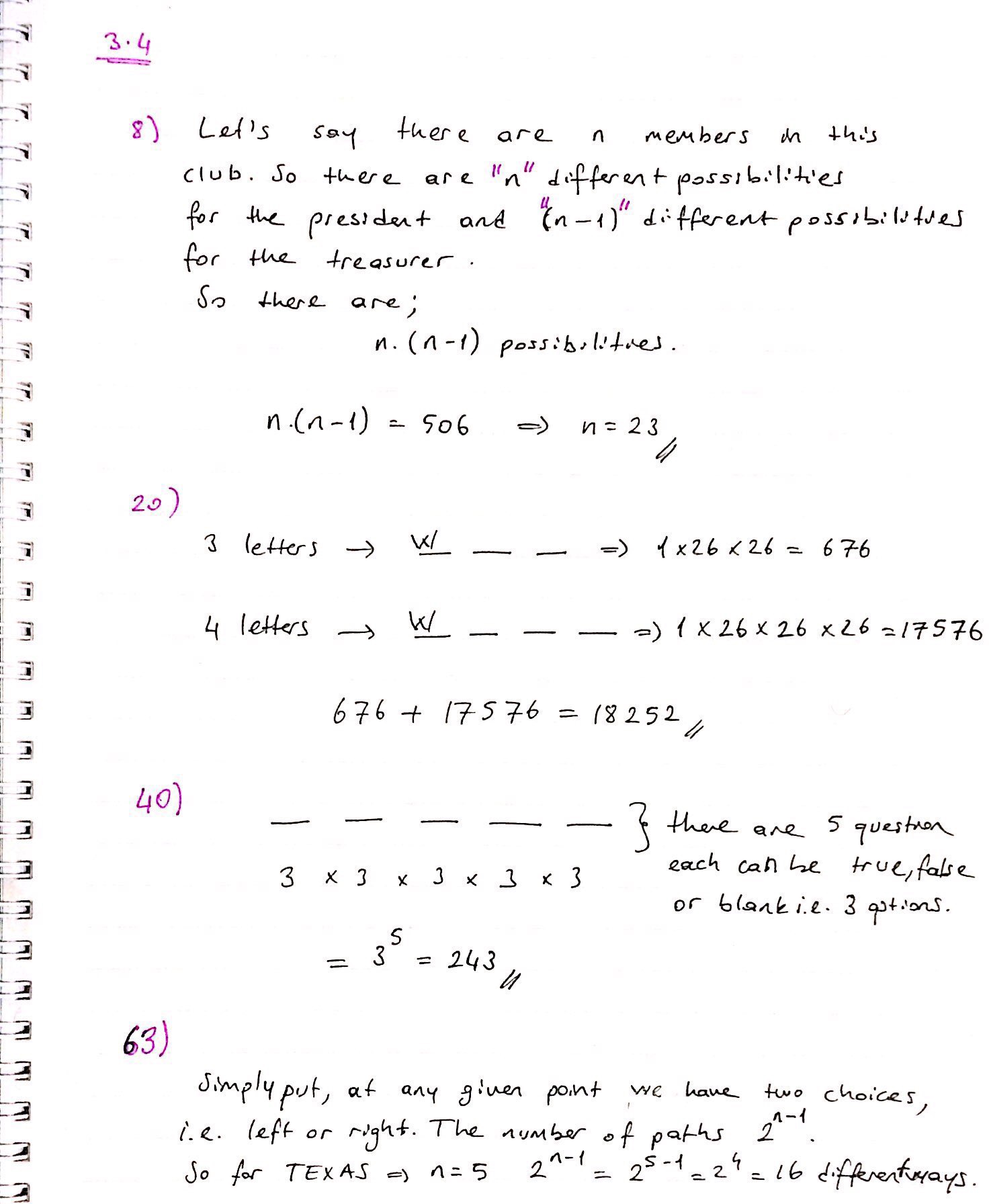
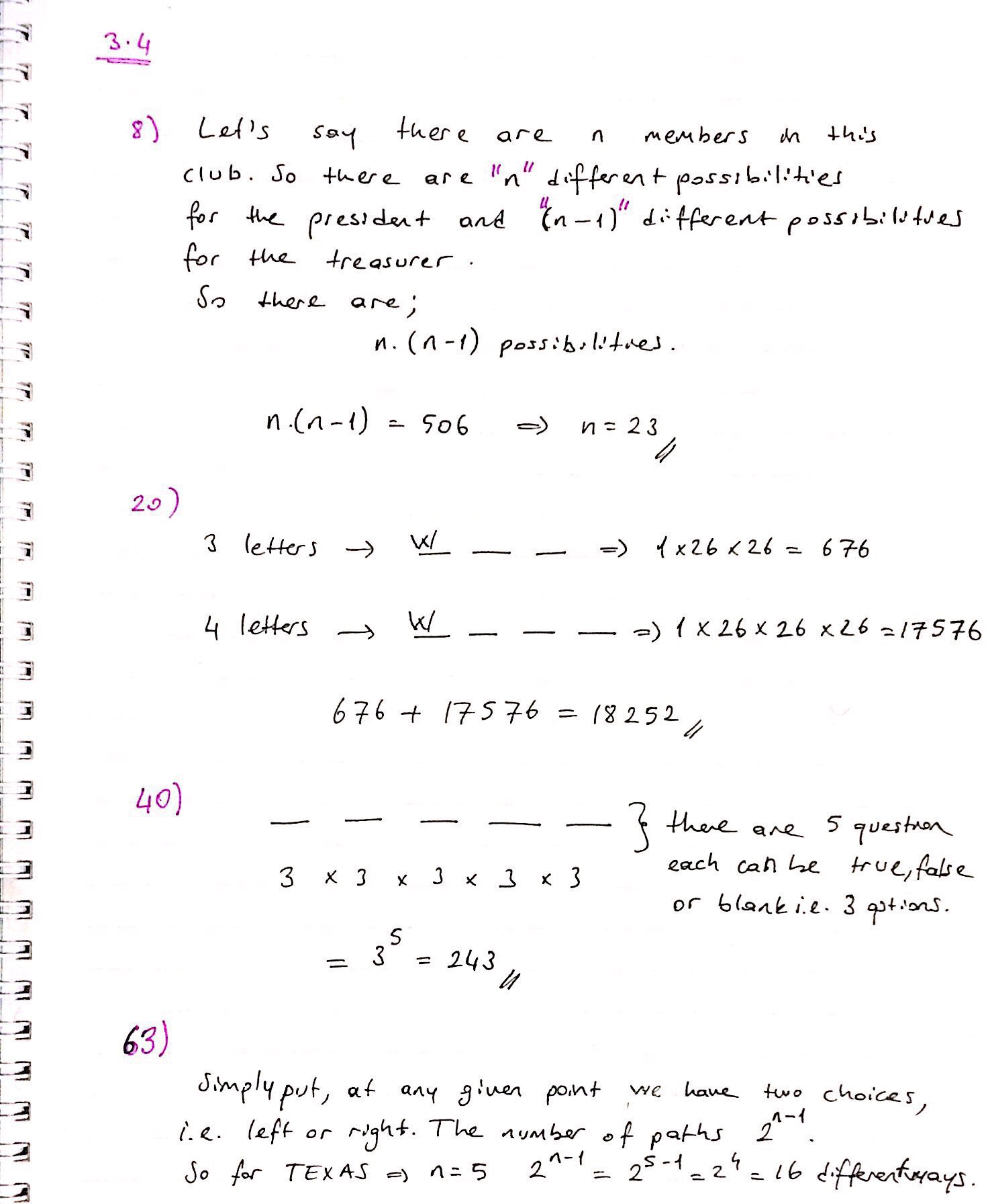
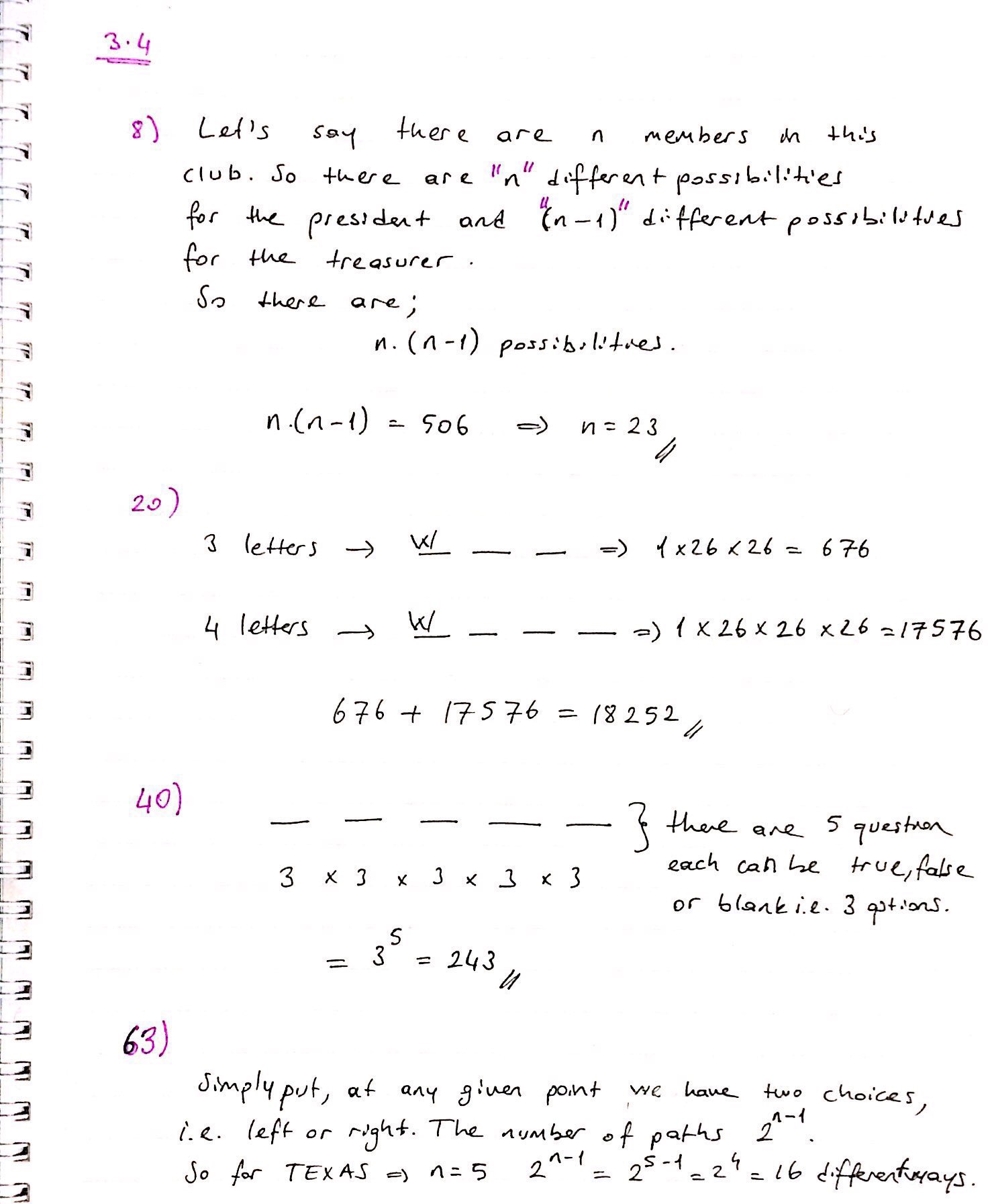
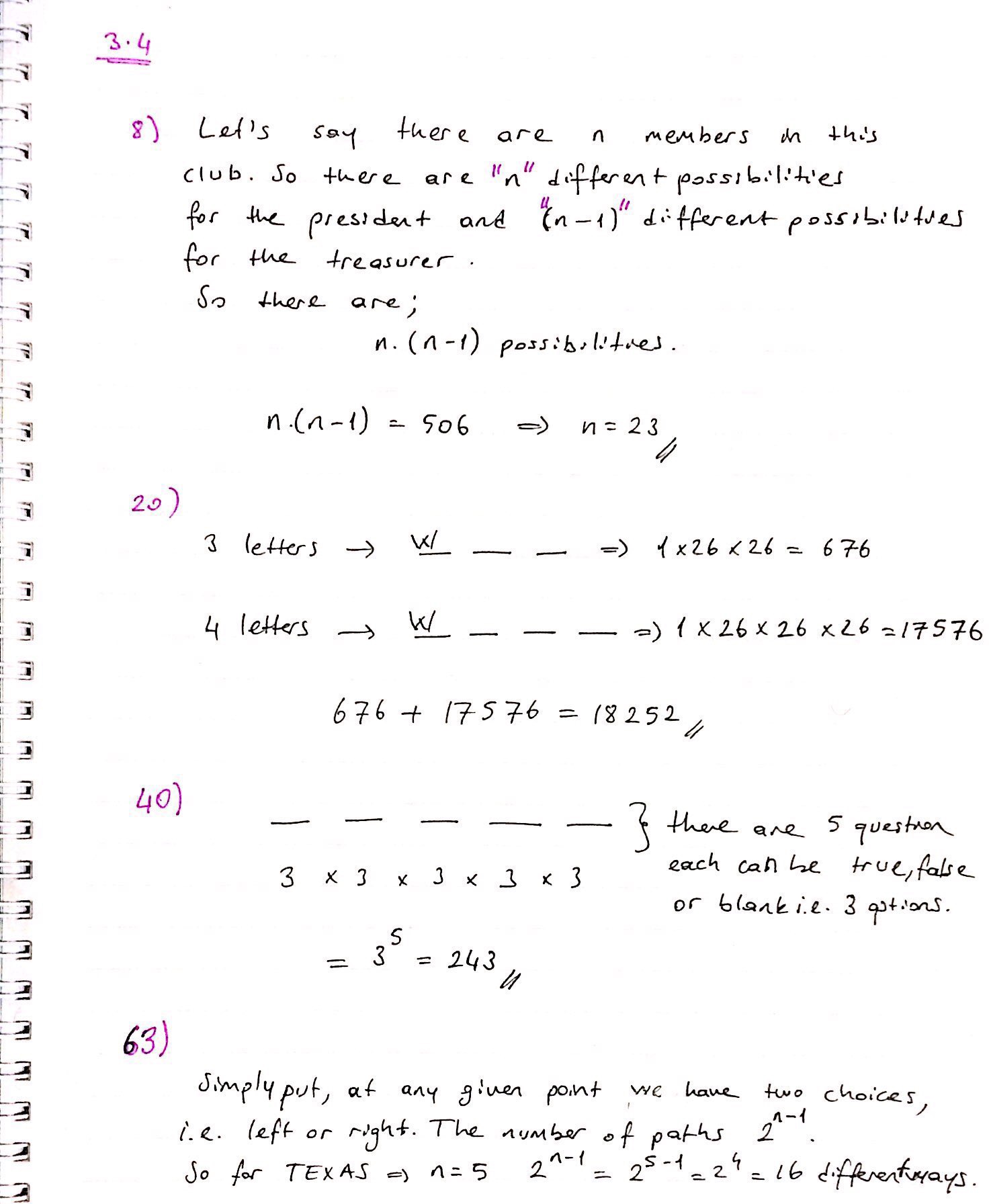
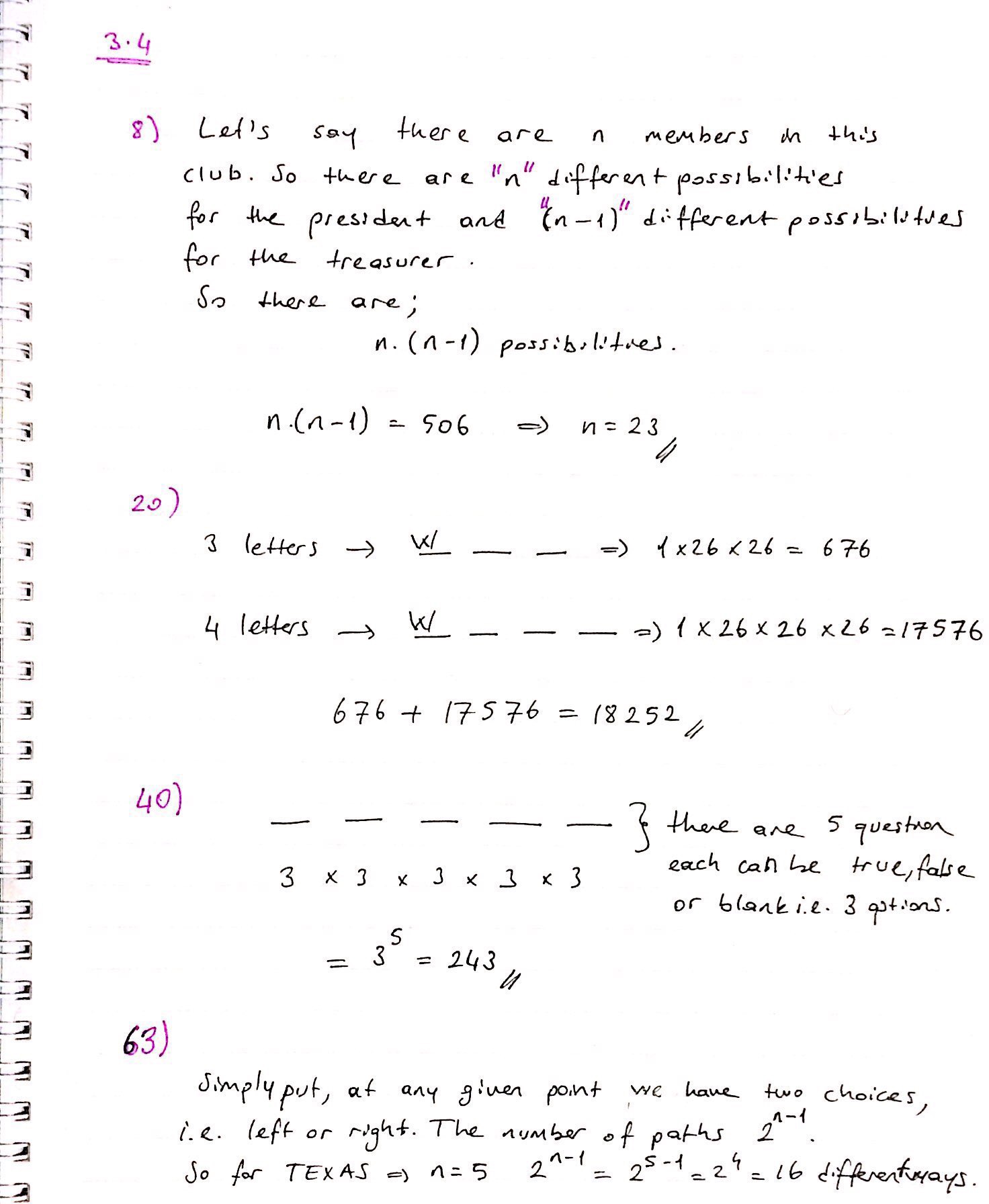
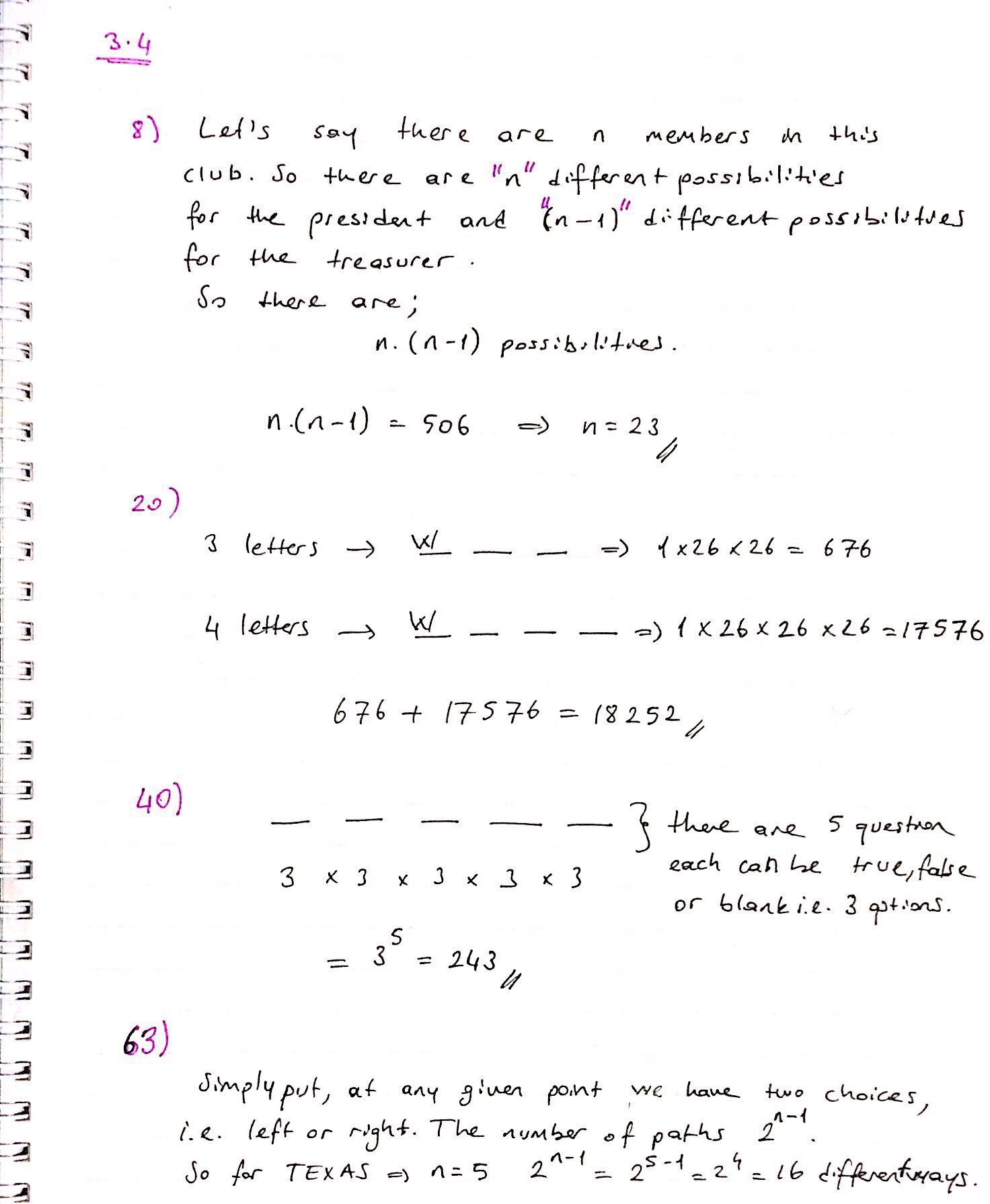
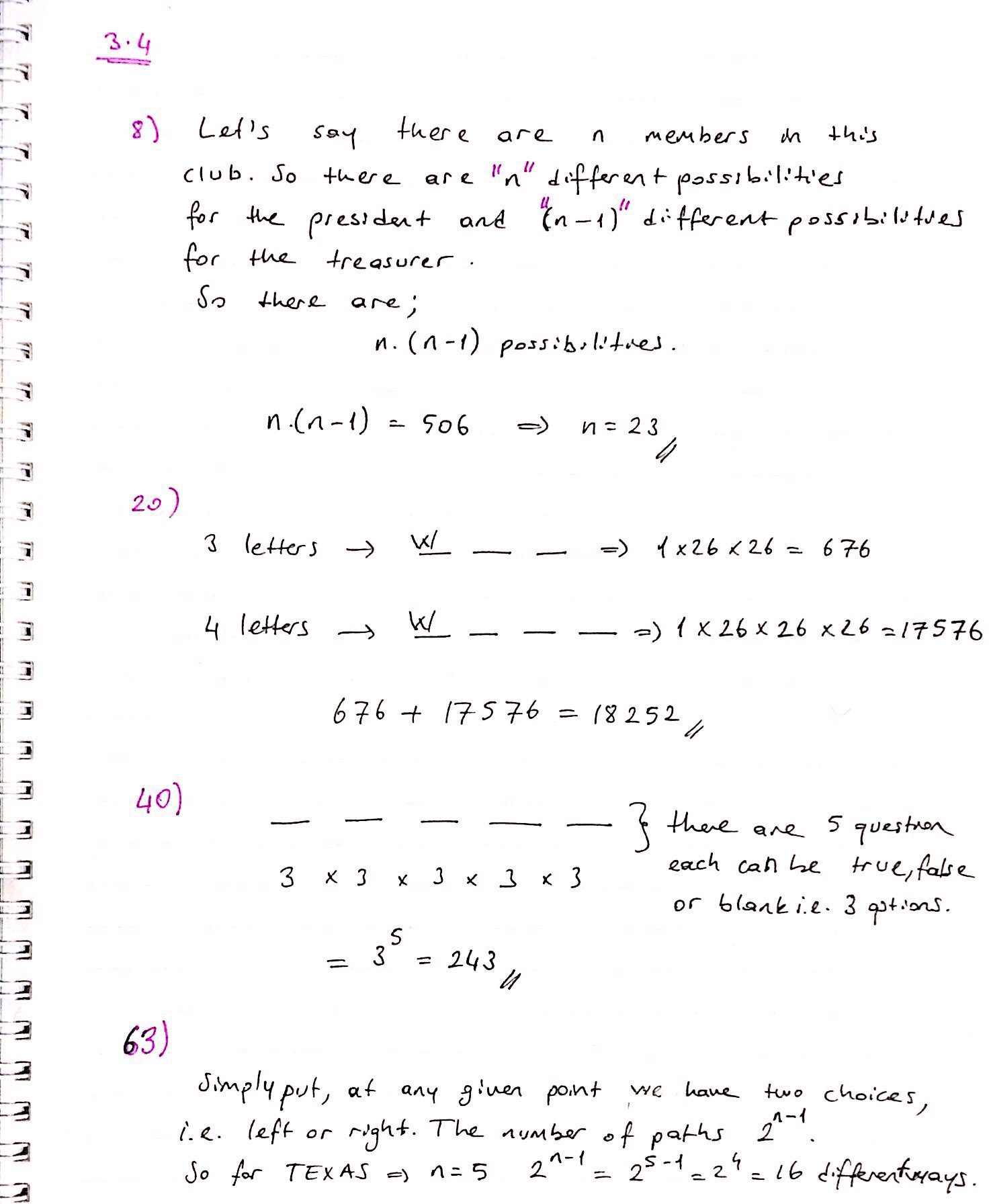
(8 Club Officers A club can elect a president and a treasurer in ...
(8 Club Officers A club can elect a president and a treasurer in...