Subjects
Online Tutoring
Homework Help
Homework Library
Tutors
More
Bookstore
Blog
Technical Tips
FAQ
Contact Us
Get Help Now
Home
Homework Library
Philosophy
Philosophic Logic
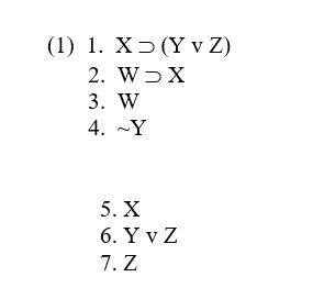
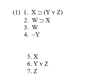
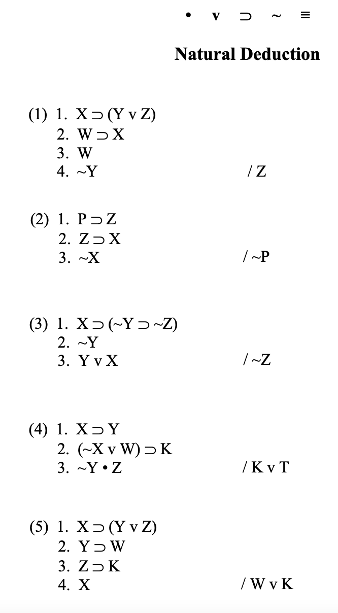
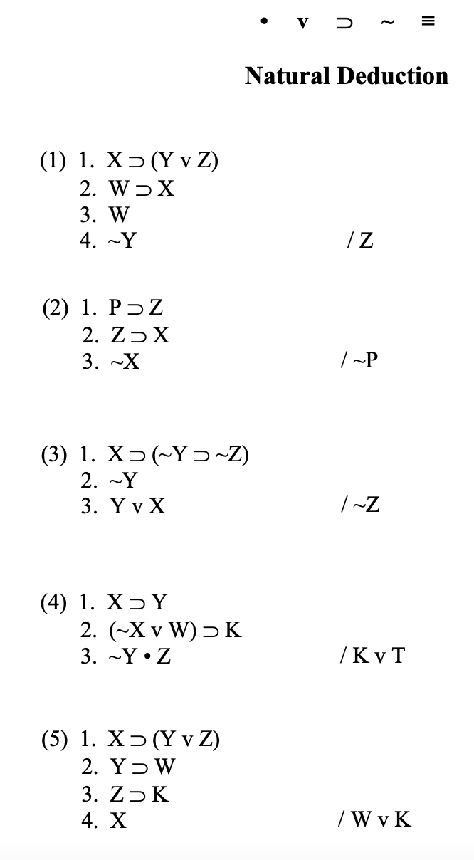
• v ~ ≡ Natural Deduction (1) 1. X (Y v Z) 2. W X ...
• v ~ ≡ Natural Deduction (1) 1. X (Y v Z) 2. W X 3. W 4...