Subjects
Online Tutoring
Homework Help
Homework Library
Tutors
Online Classes
More
Bookstore
Blog
Technical Tips
FAQ
Contact Us
Get Help Now
Home
Homework Library
Physics
General Physics
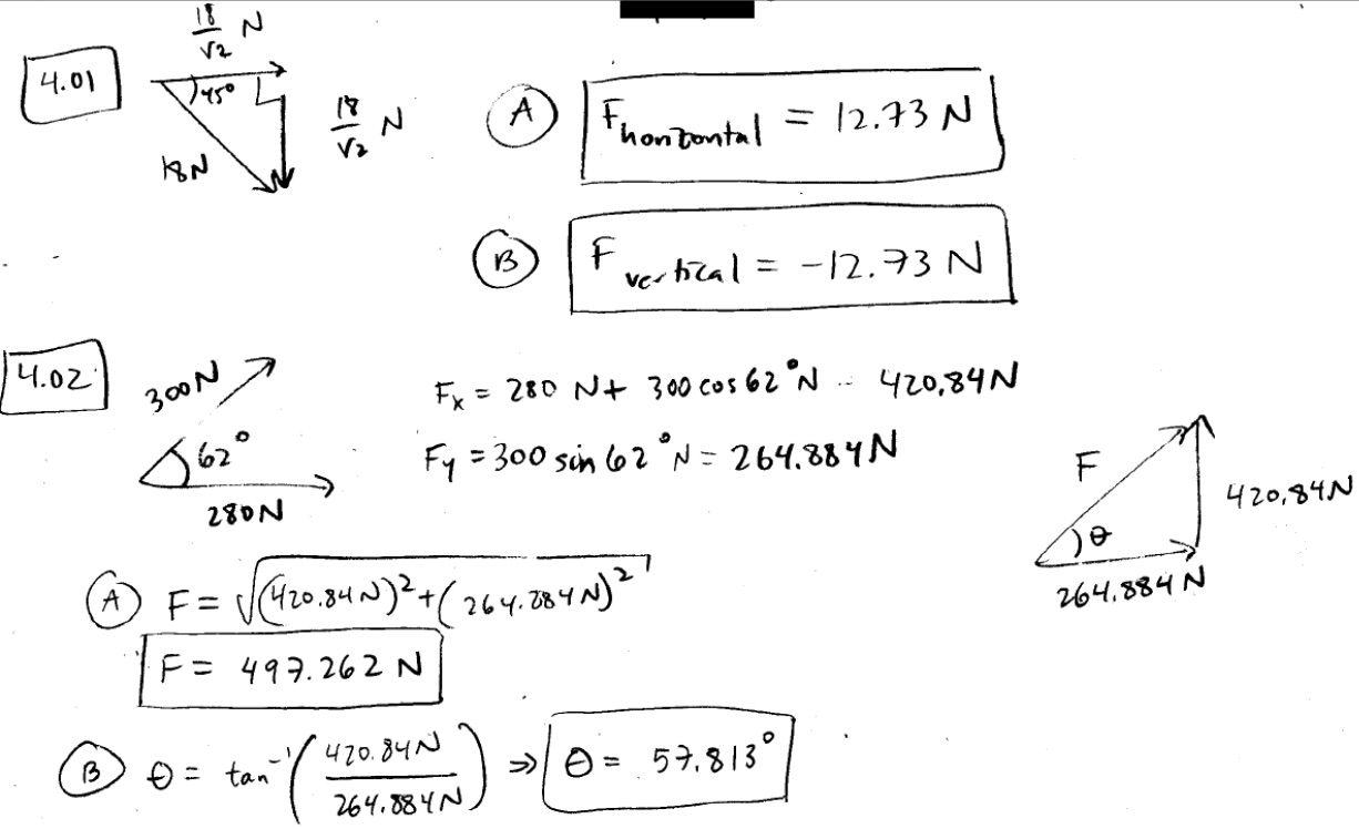
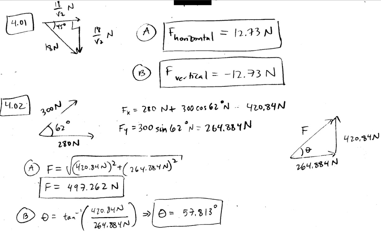
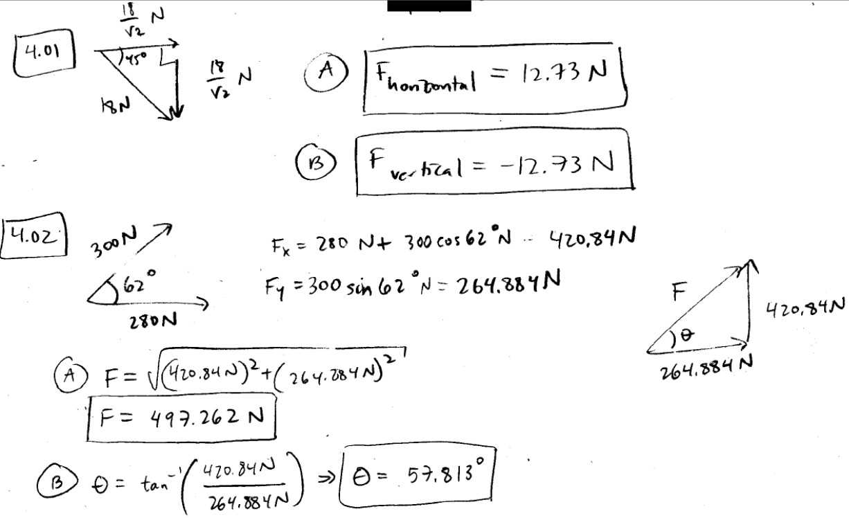
Problem 4.01 A warehouse worker pushes a crate along the floor, as...
Problem 4.01 A warehouse worker pushes a crate along the floor, as...