Subjects
Online Tutoring
Homework Help
Homework Library
Tutors
Online Classes
More
Bookstore
Blog
Technical Tips
FAQ
Contact Us
Get Help Now
Home
Homework Library
Physics
General Physics
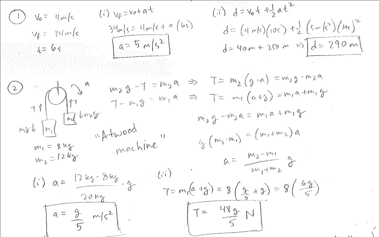
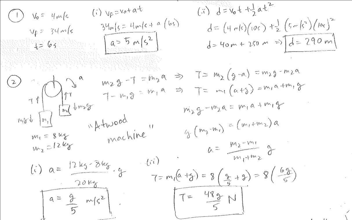
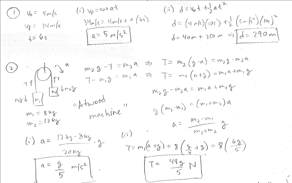
1. A particle is moving in a straight line with constant accelerati...
1. A particle is moving in a straight line with constant accelerati...