Subjects
Online Tutoring
Homework Help
Homework Library
Tutors
Online Classes
More
Bookstore
Blog
Technical Tips
FAQ
Contact Us
Get Help Now
Home
Homework Library
Physics
General Physics
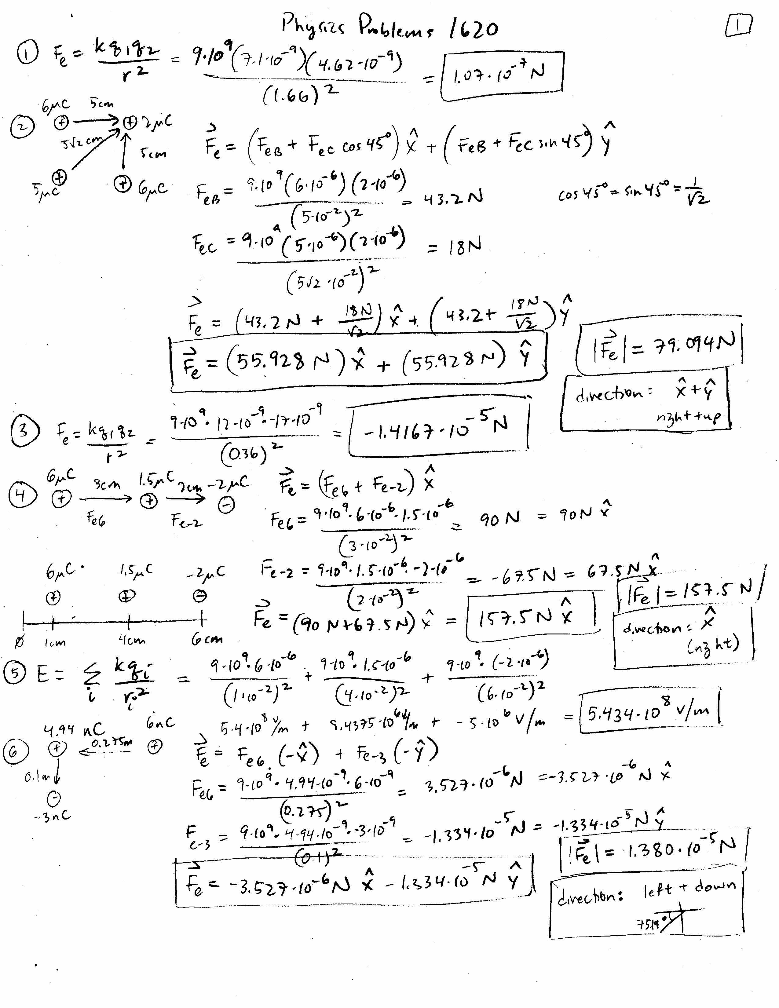
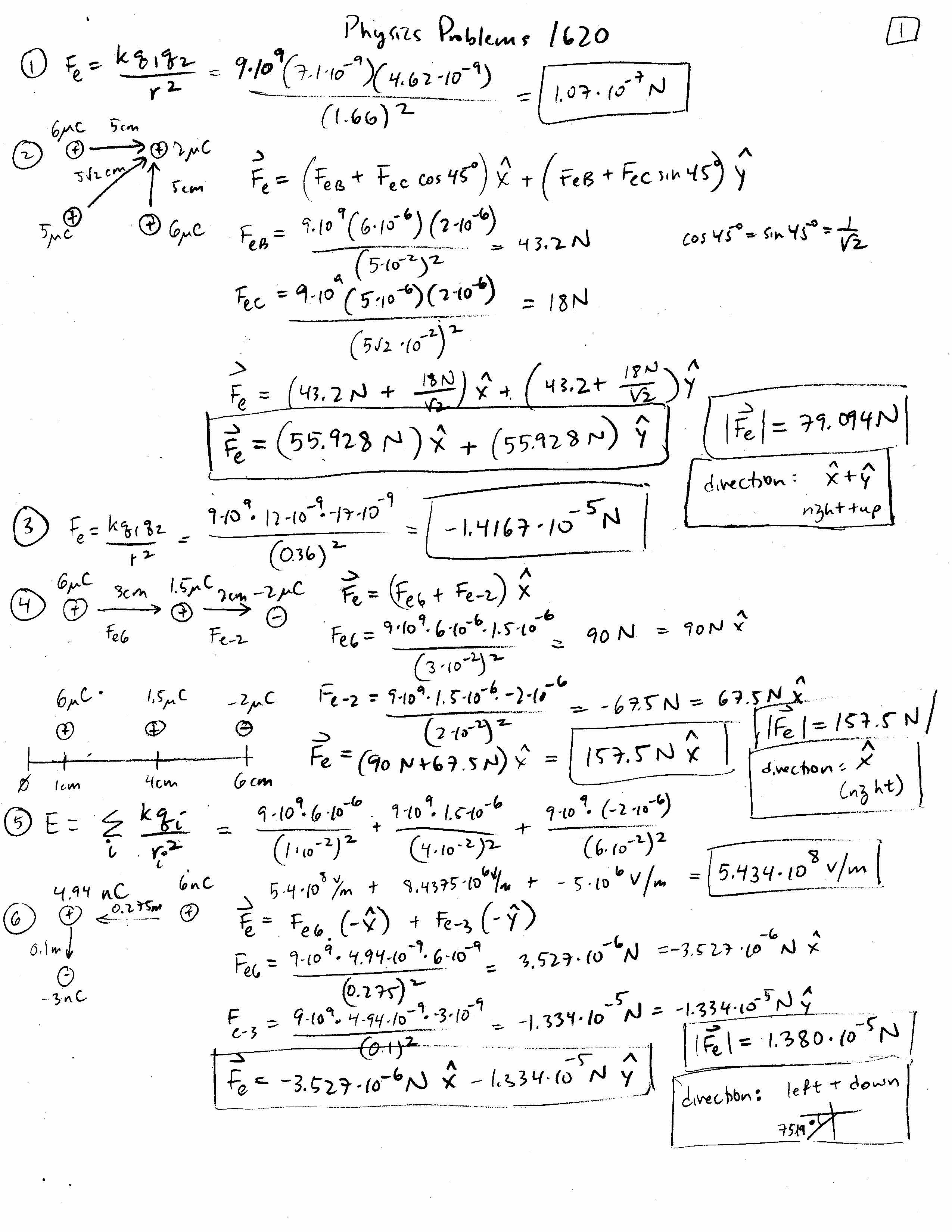
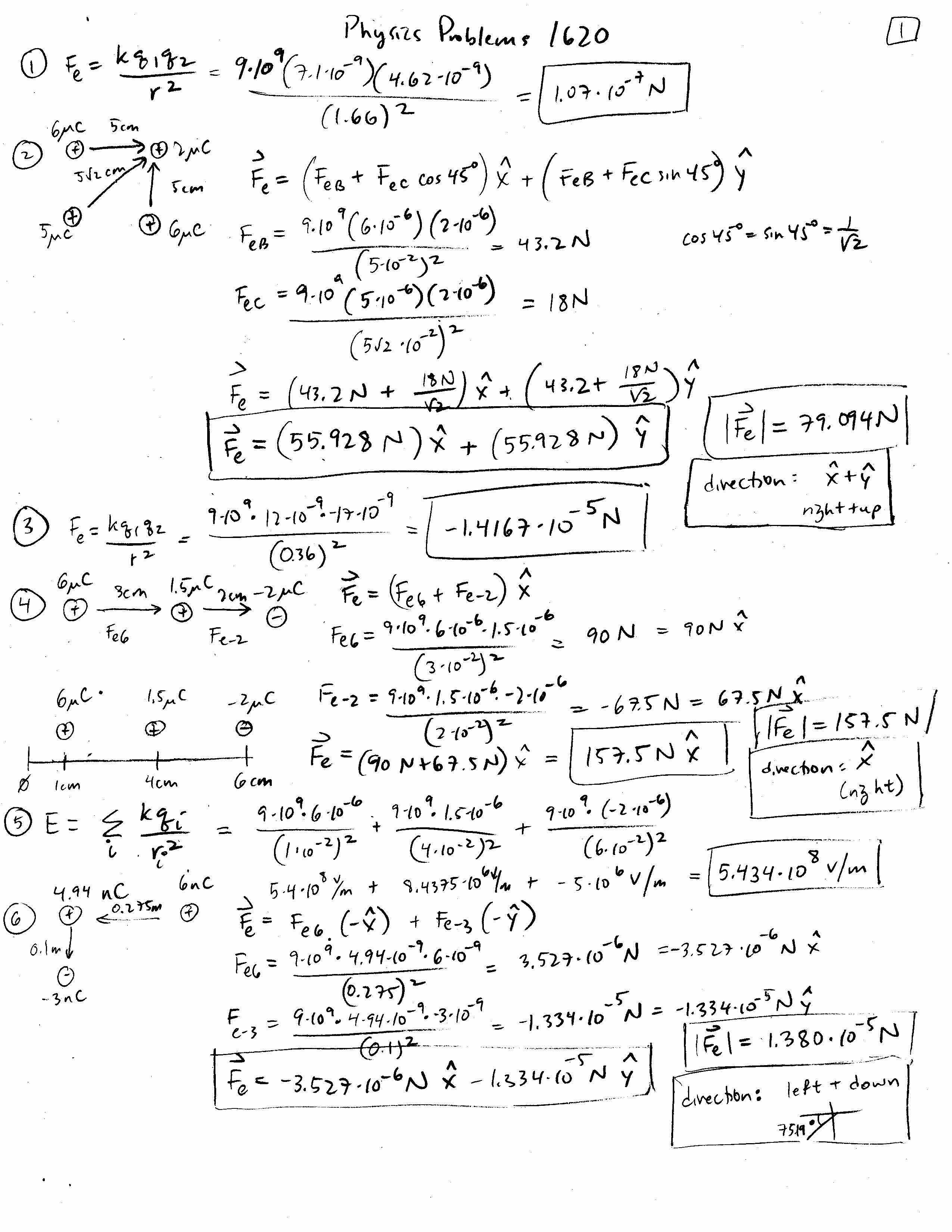
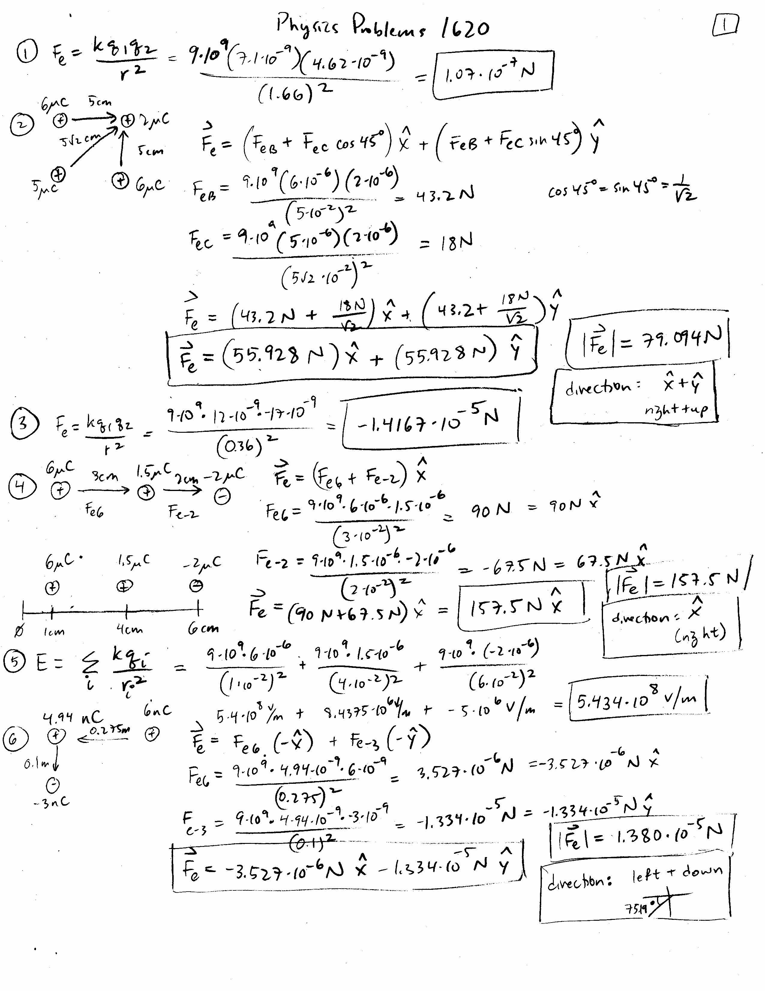
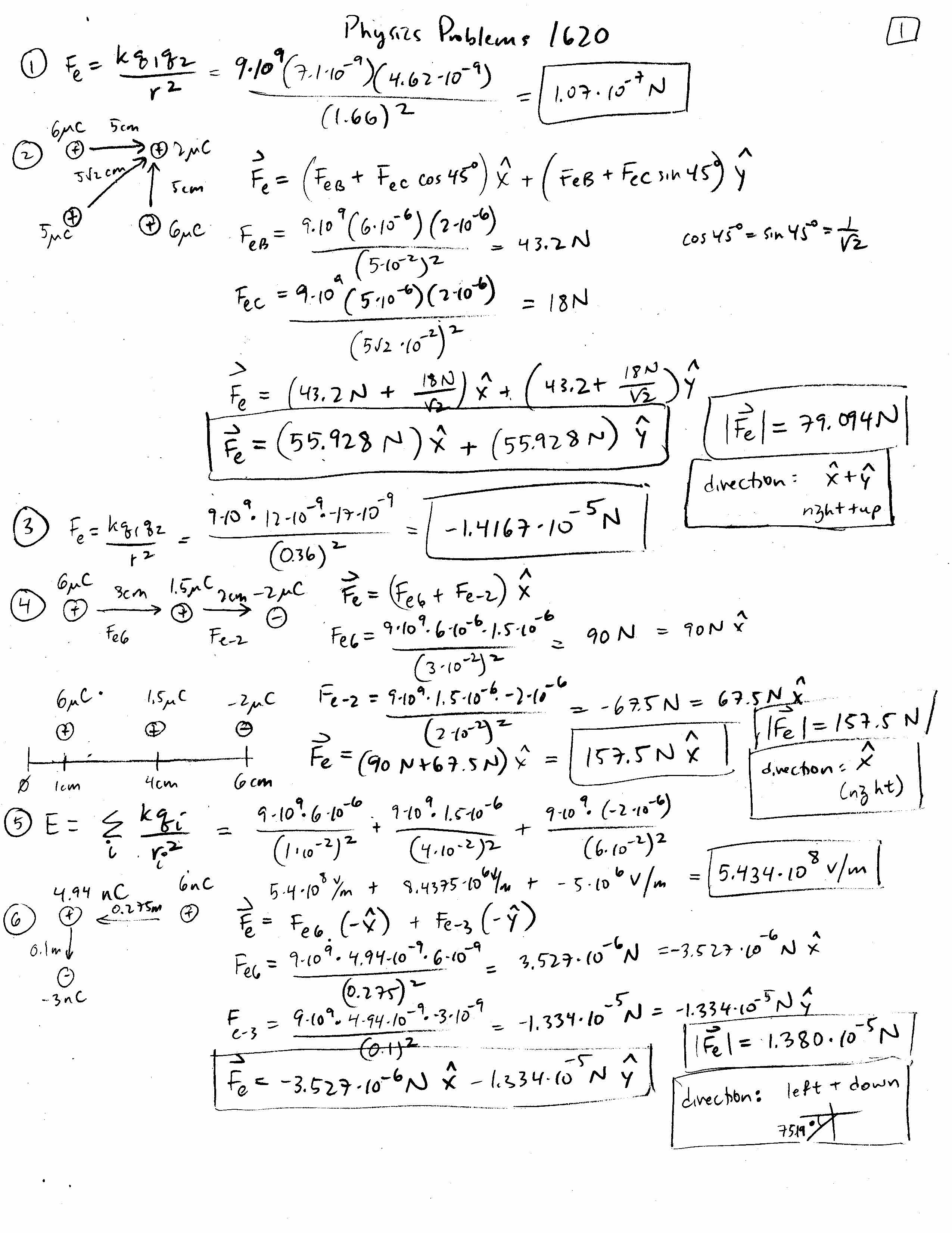
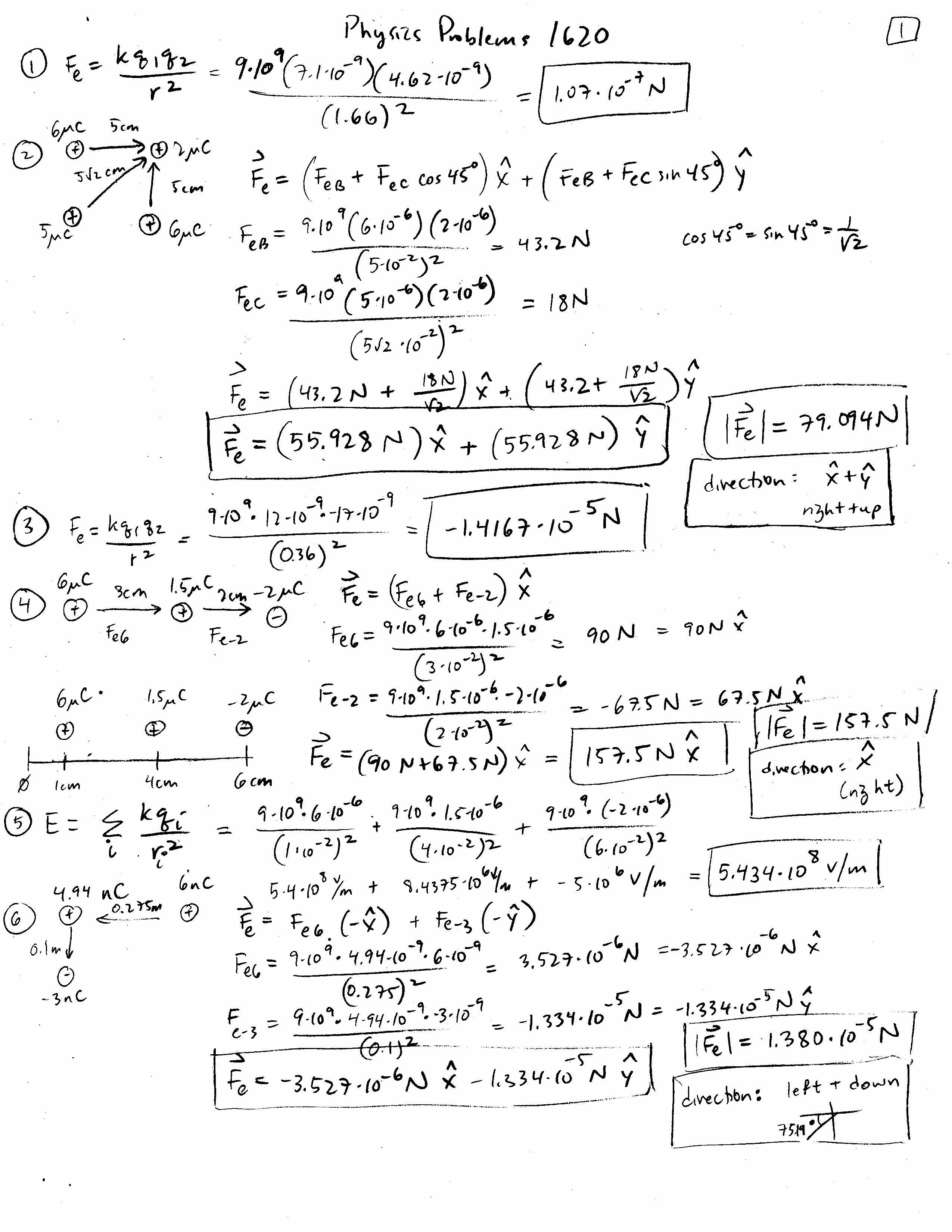
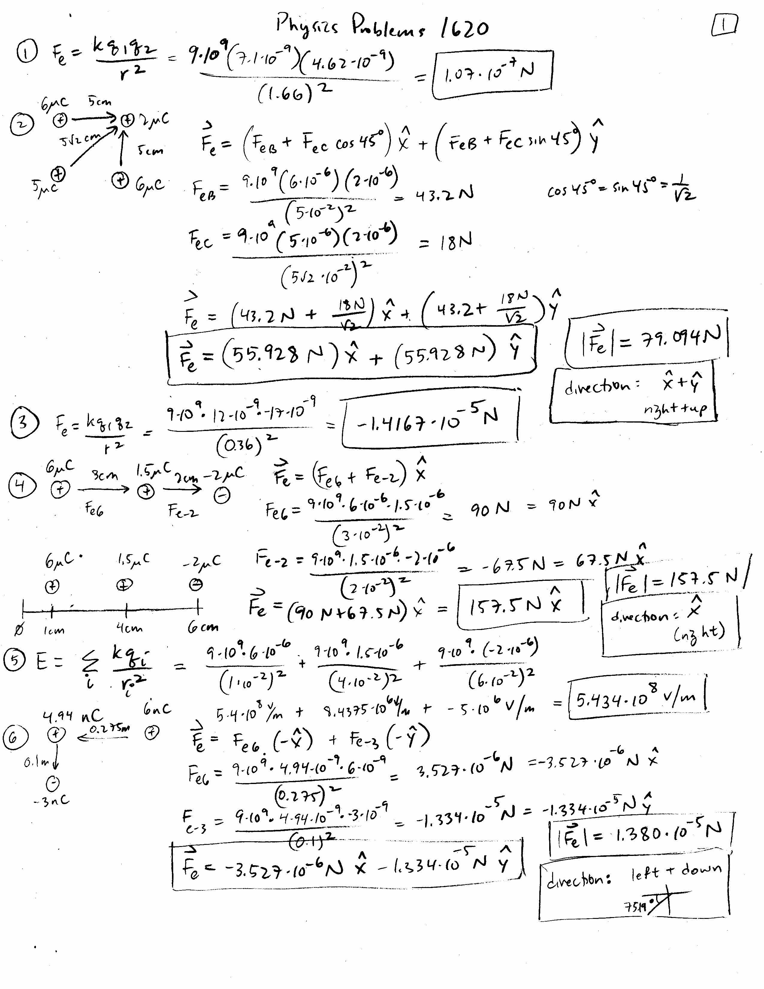
Chapter 16 1) A 7.10-nC charge is located 1.66 m from a 4.62-nC po...
Chapter 16 1) A 7.10-nC charge is located 1.66 m from a 4.62-nC po...