Subjects
Online Tutoring
Homework Help
Homework Library
Tutors
Online Classes
More
Bookstore
Blog
Technical Tips
FAQ
Contact Us
Get Help Now
Home
Homework Library
Physics
General Physics
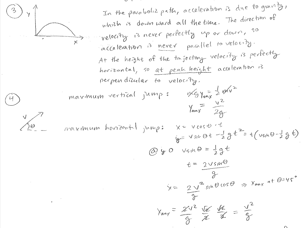
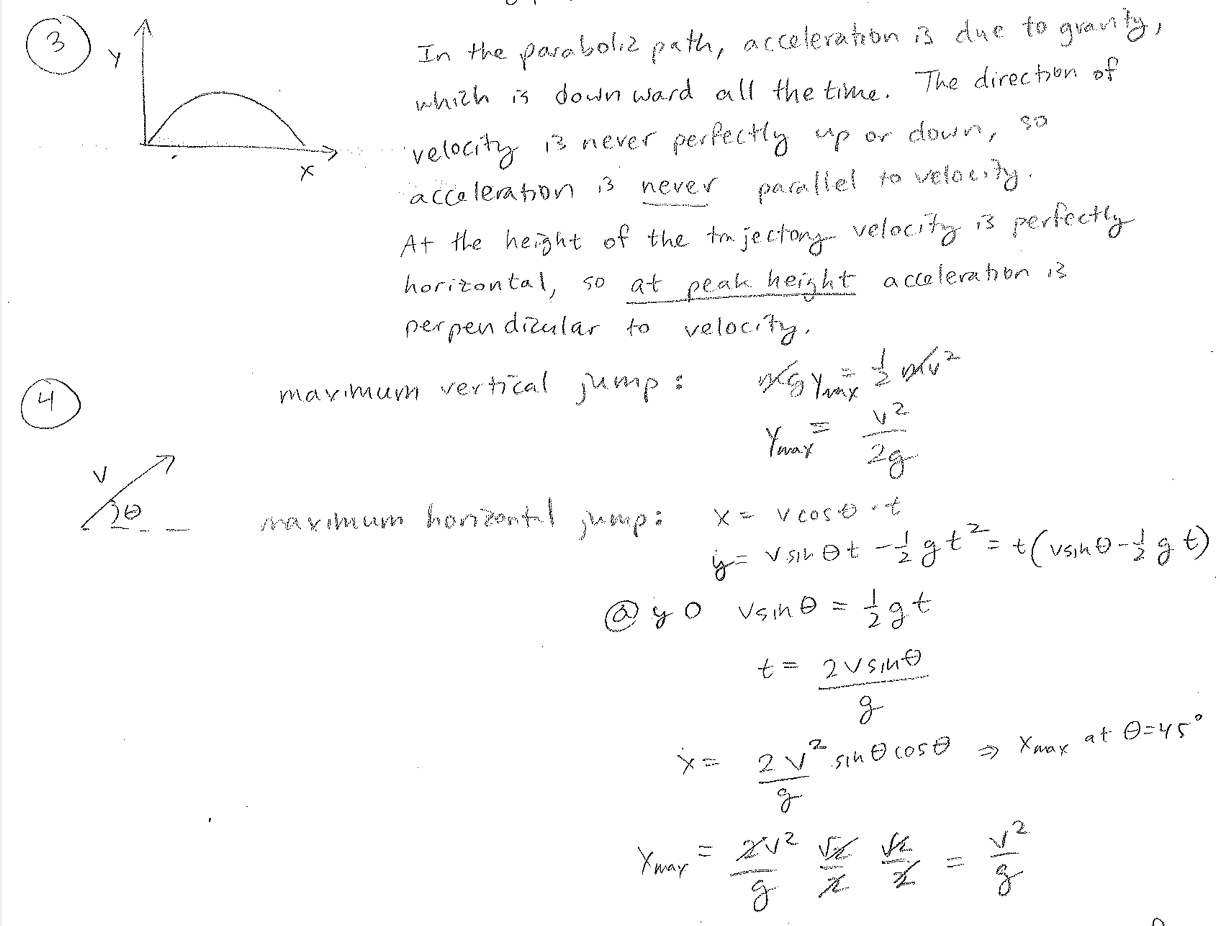
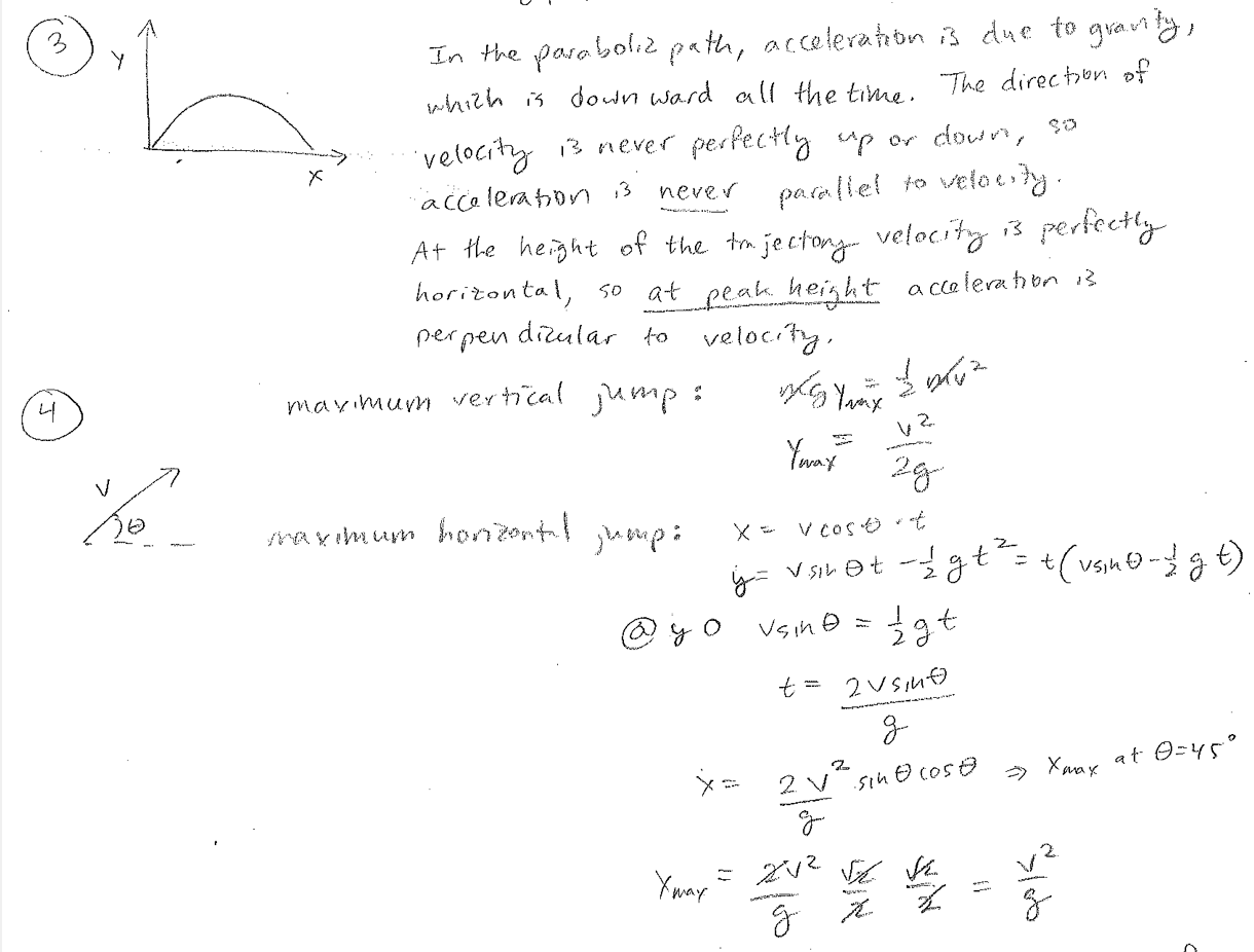
3. A football is thrown in a parabolic path. Is there any point at ...
3. A football is thrown in a parabolic path. Is there any point at...