Subjects
Online Tutoring
Homework Help
Homework Library
Tutors
Online Classes
More
Bookstore
Blog
Technical Tips
FAQ
Contact Us
Get Help Now
Home
Homework Library
Physics
General Physics
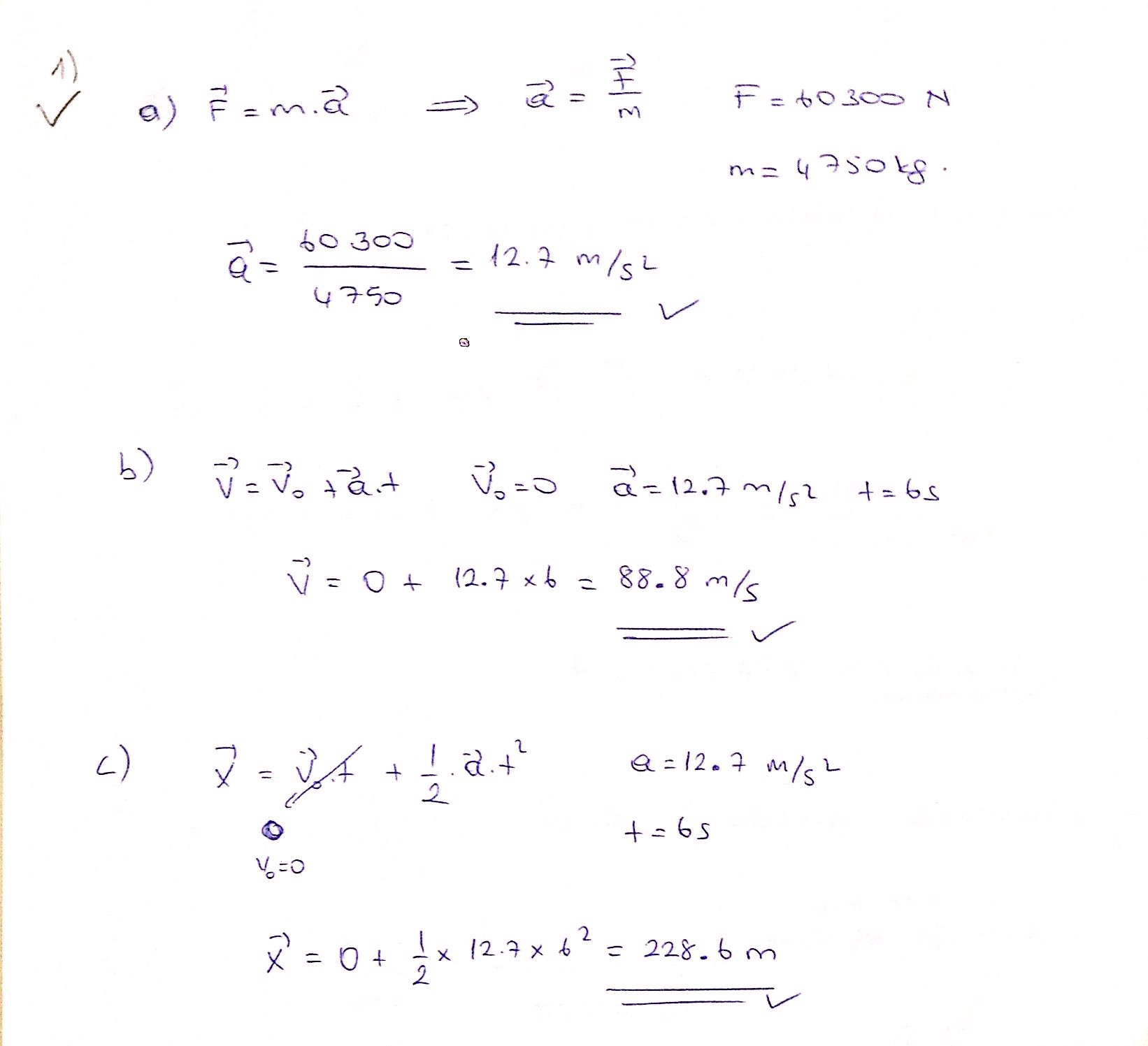
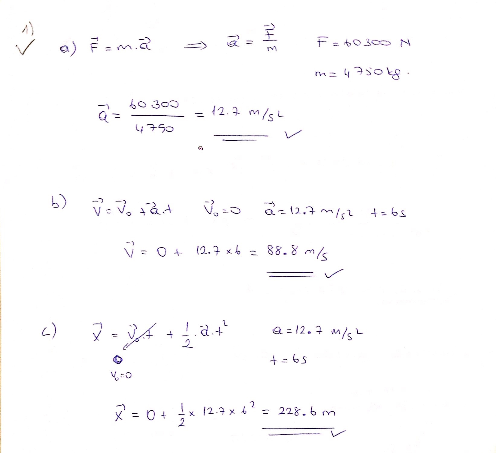
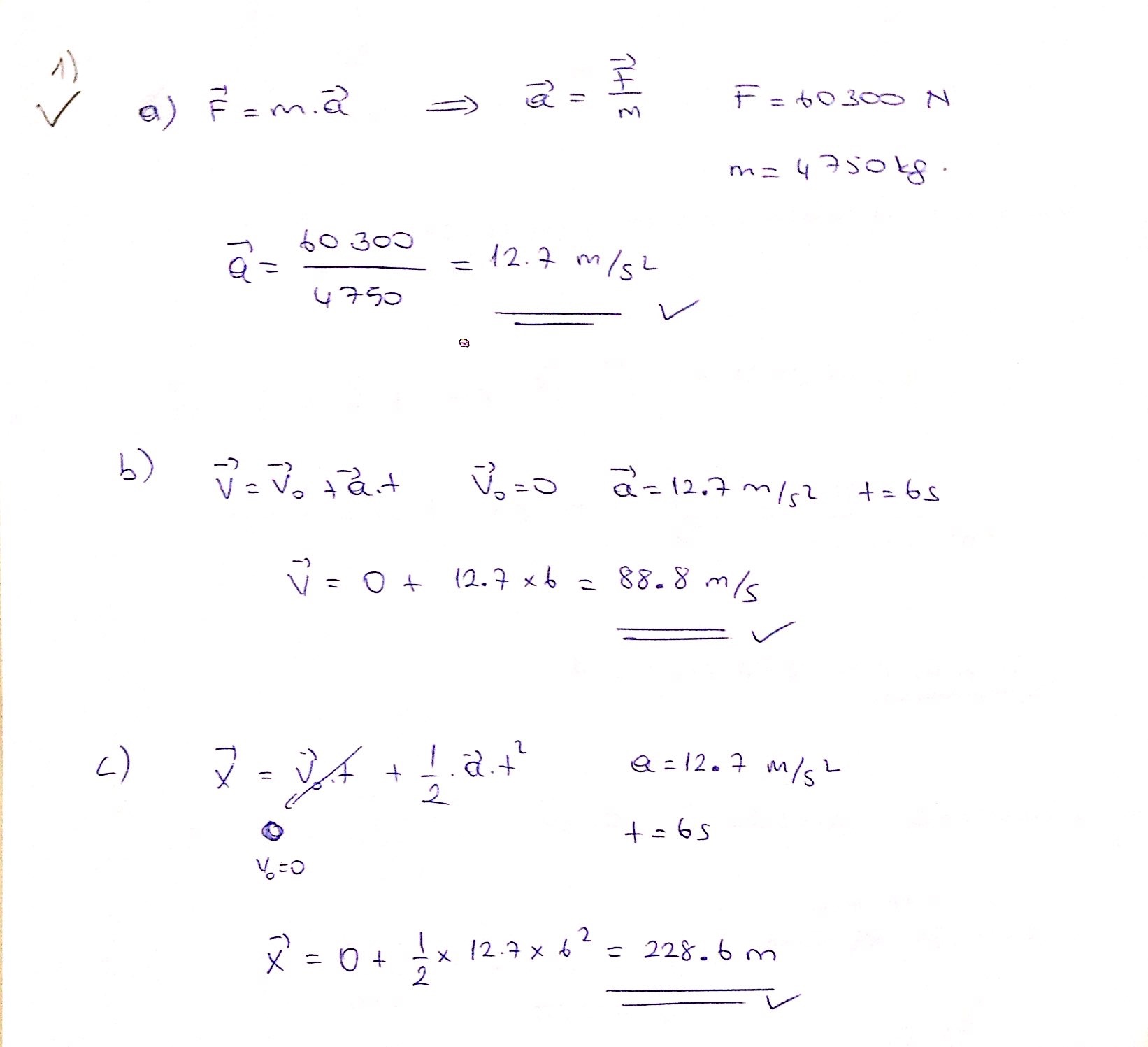
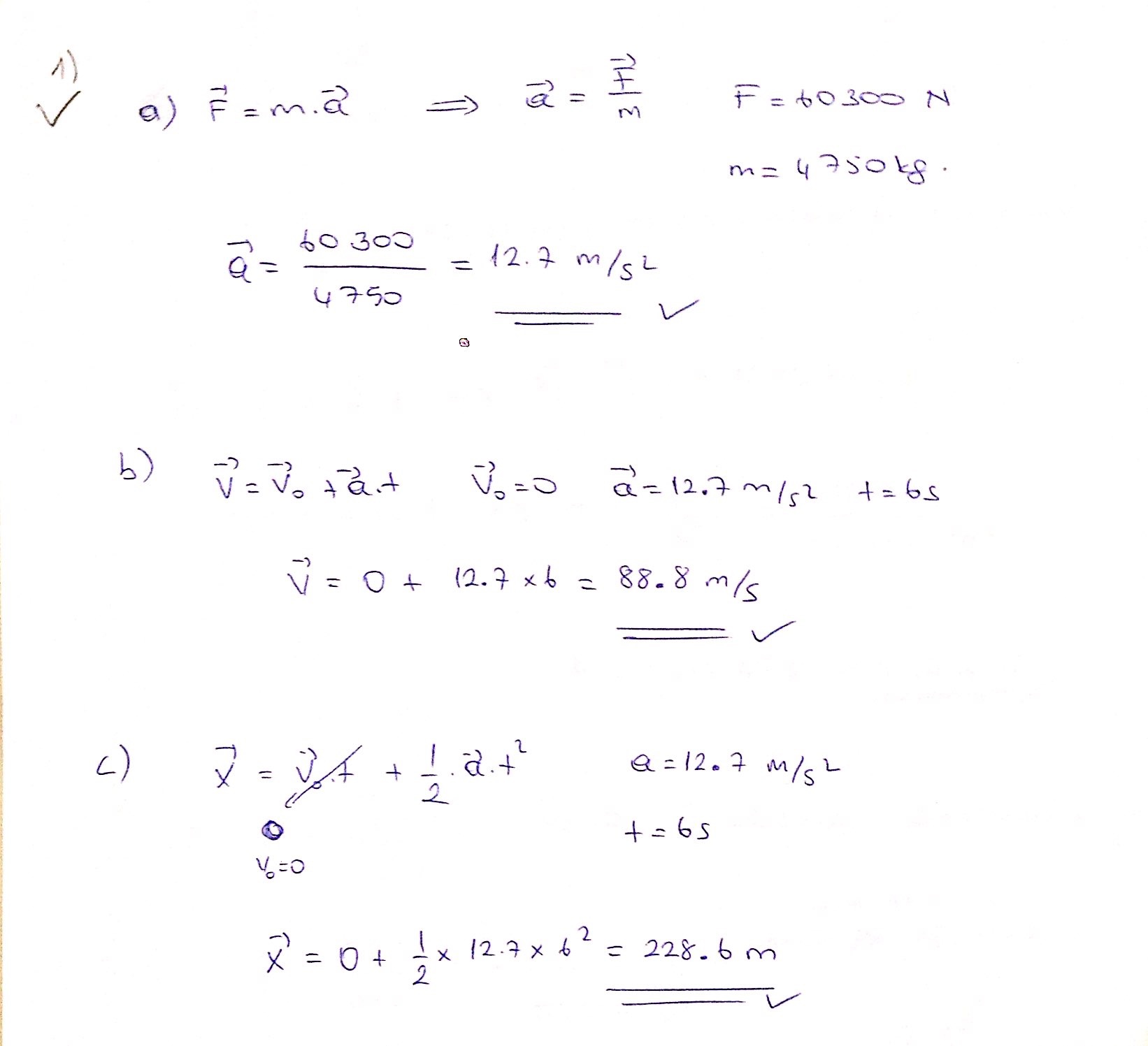
1. -/7.14 points A jet aircraft with a mass of 4,750 kg has an eng...
1. -/7.14 points A jet aircraft with a mass of 4,750 kg has an eng...