Subjects
Online Tutoring
Homework Help
Homework Library
Tutors
Online Classes
More
Bookstore
Blog
Technical Tips
FAQ
Contact Us
Get Help Now
Home
Homework Library
Physics
General Physics
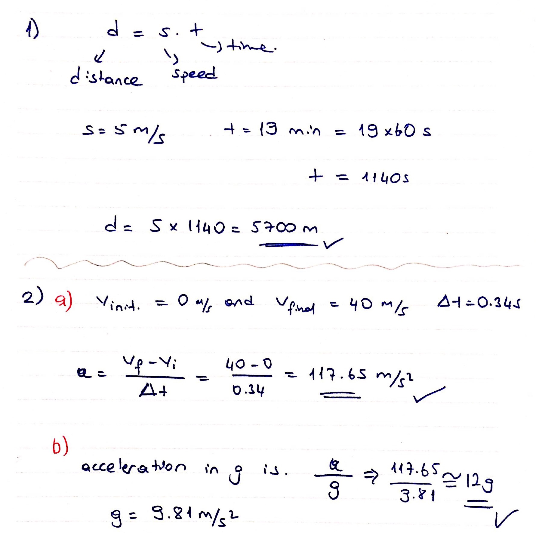
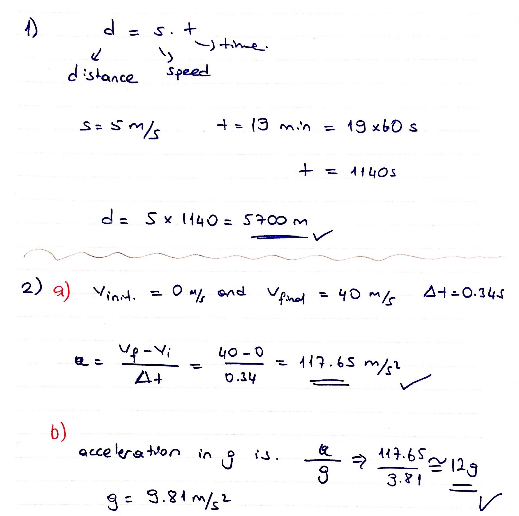
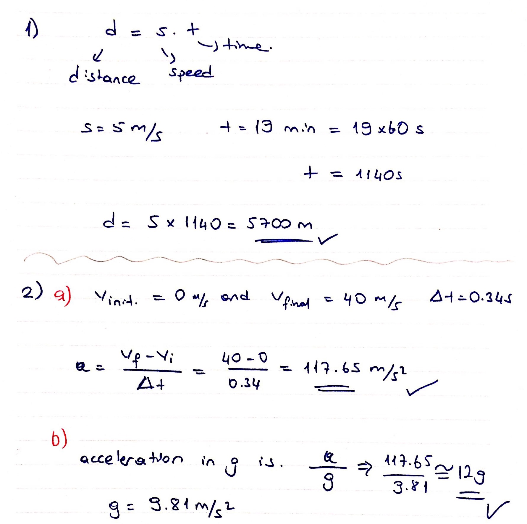
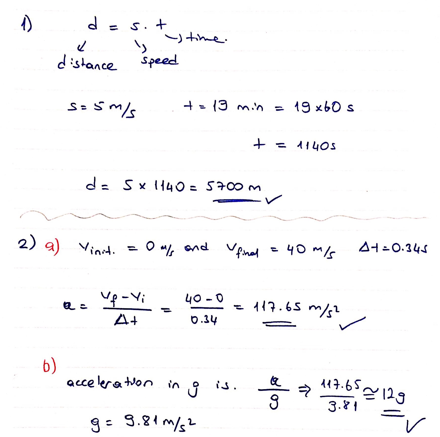
1. A long-distance runner has an average speed of 5 m/s during a ra...
1. A long-distance runner has an average speed of 5 m/s during a ra...