Subjects
Online Tutoring
Homework Help
Homework Library
Tutors
Online Classes
More
Bookstore
Blog
Technical Tips
FAQ
Contact Us
Get Help Now
Home
Homework Library
Physics
General Physics
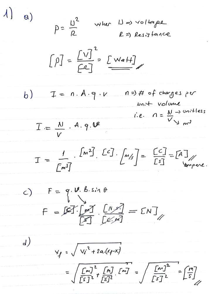
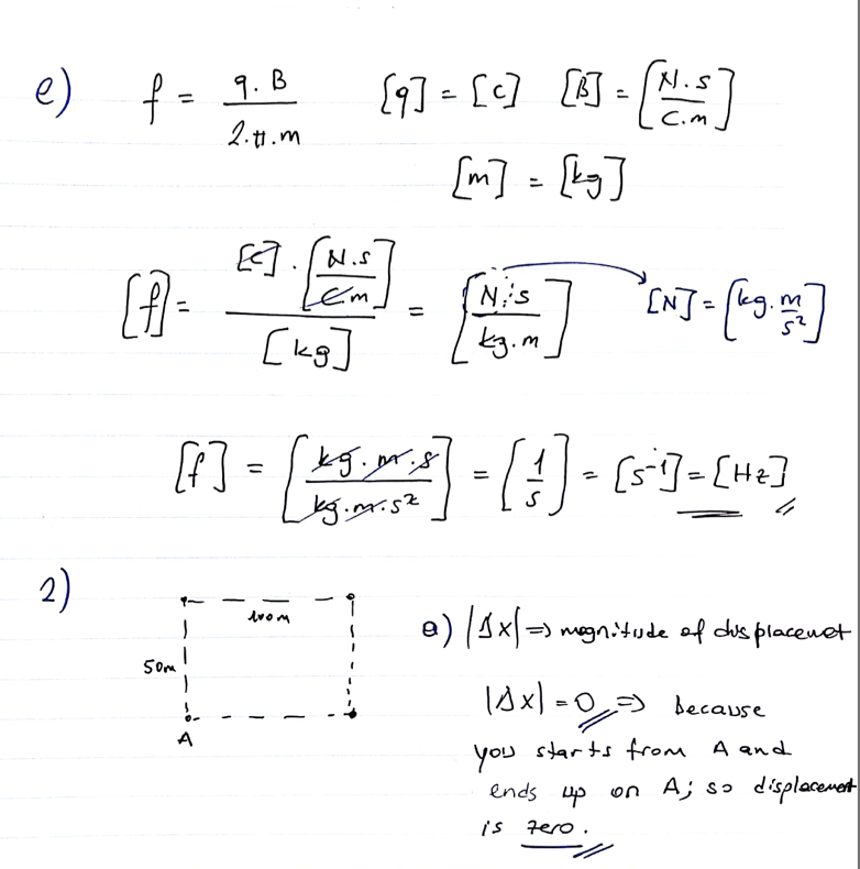
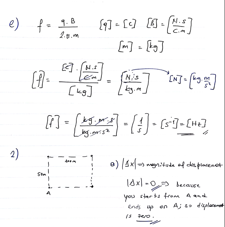
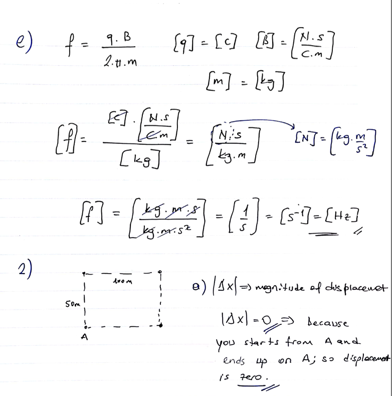
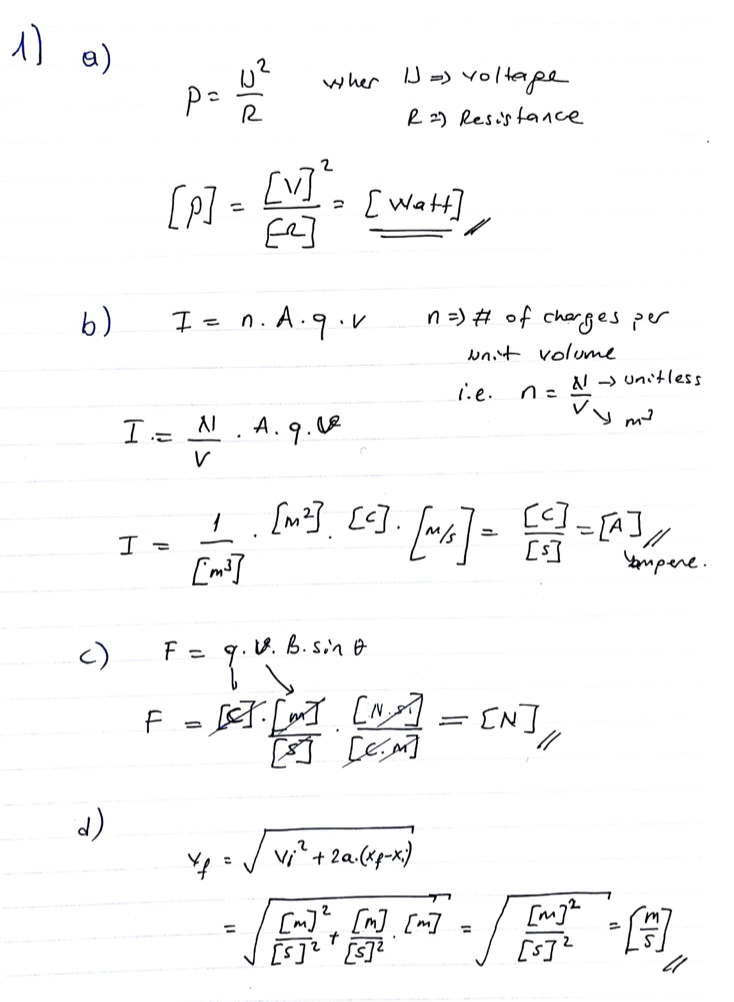
1. Find the unit for the quantities given by the following equation...
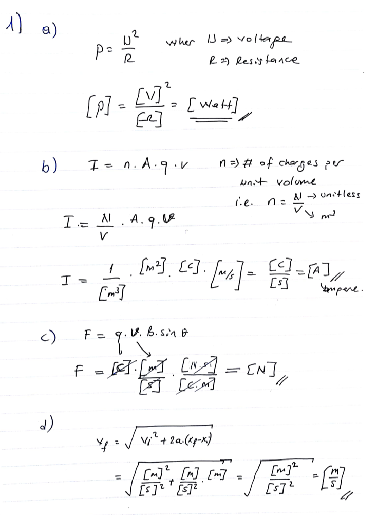
1. Find the unit for the quantities given by the following equation...