Subjects
Online Tutoring
Homework Help
Homework Library
Tutors
Online Classes
More
Bookstore
Blog
Technical Tips
FAQ
Contact Us
Get Help Now
Home
Homework Library
Physics
General Physics
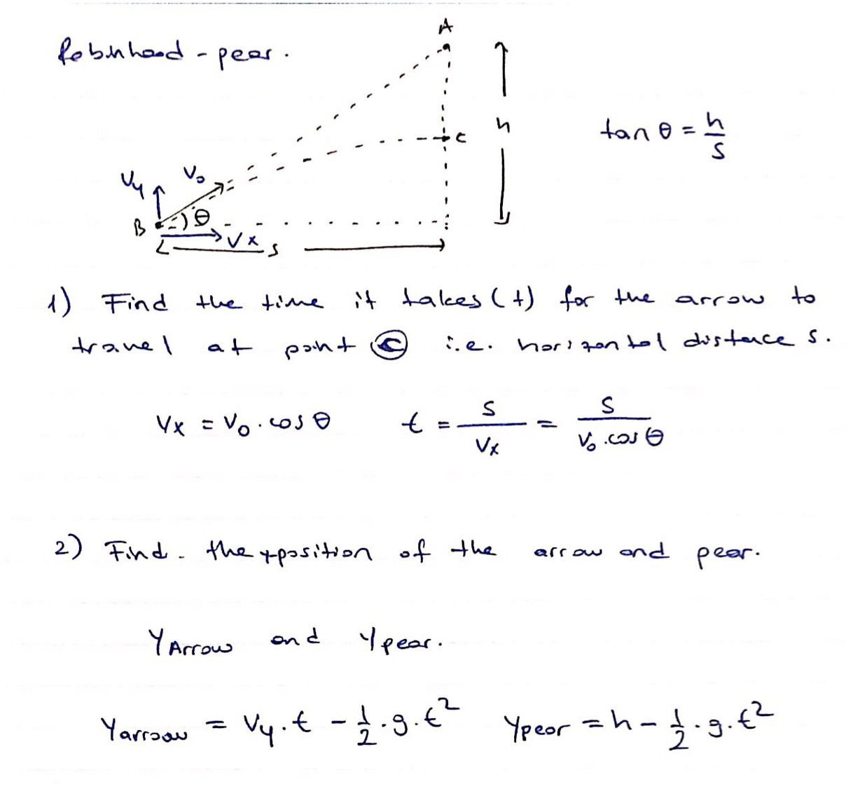
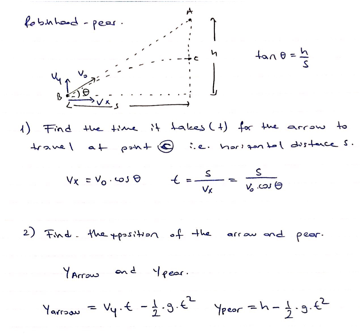
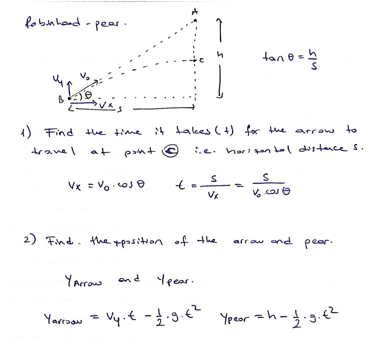
EXAMPLE 3.7 Robin Hood shoots a pear the sound of horn, shown in ...
EXAMPLE 3.7 Robin Hood shoots a pear the sound of horn, shown in...