Subjects
Online Tutoring
Homework Help
Homework Library
Tutors
Online Classes
More
Bookstore
Blog
Technical Tips
FAQ
Contact Us
Get Help Now
Home
Homework Library
Physics
General Physics
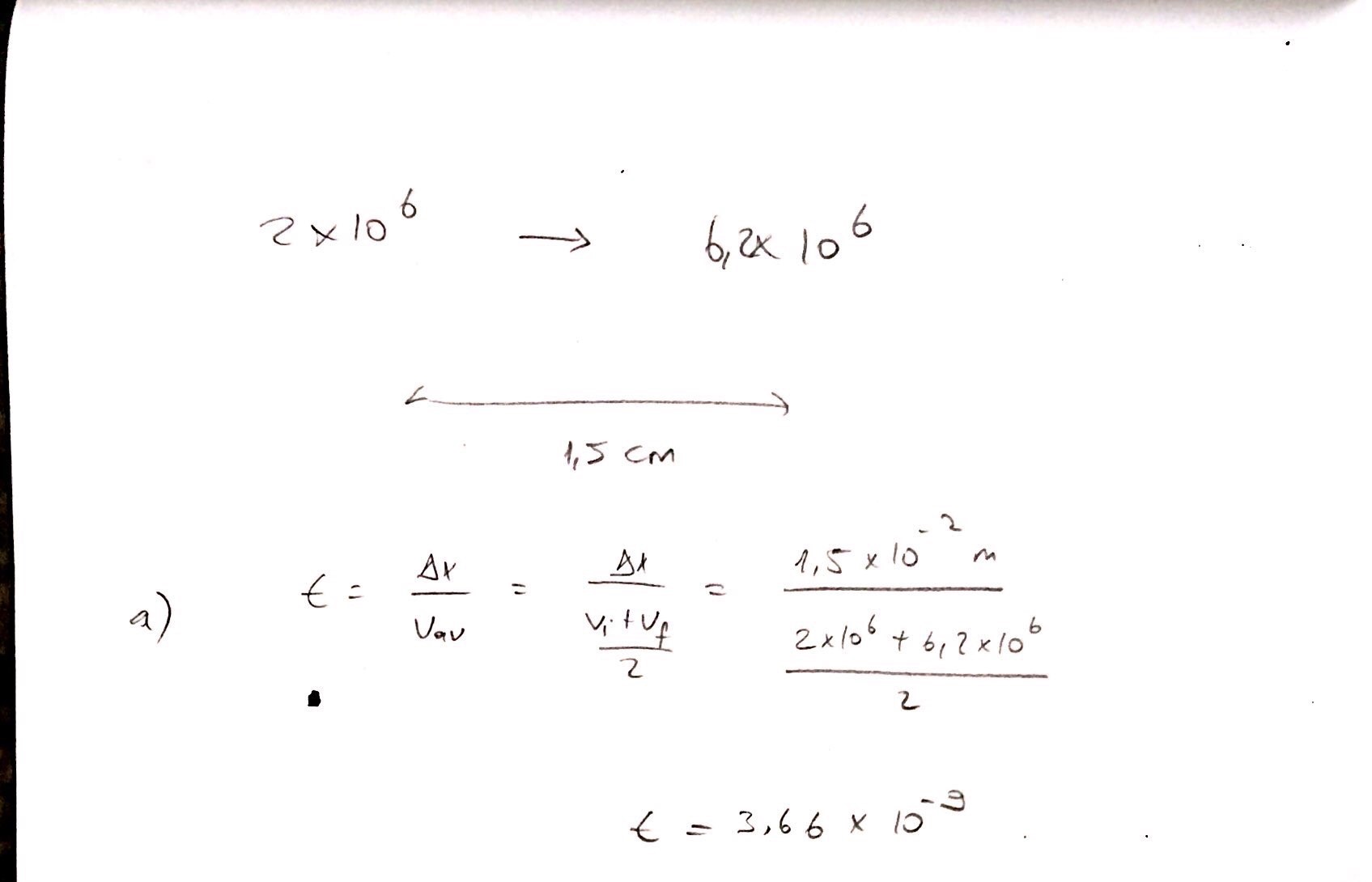
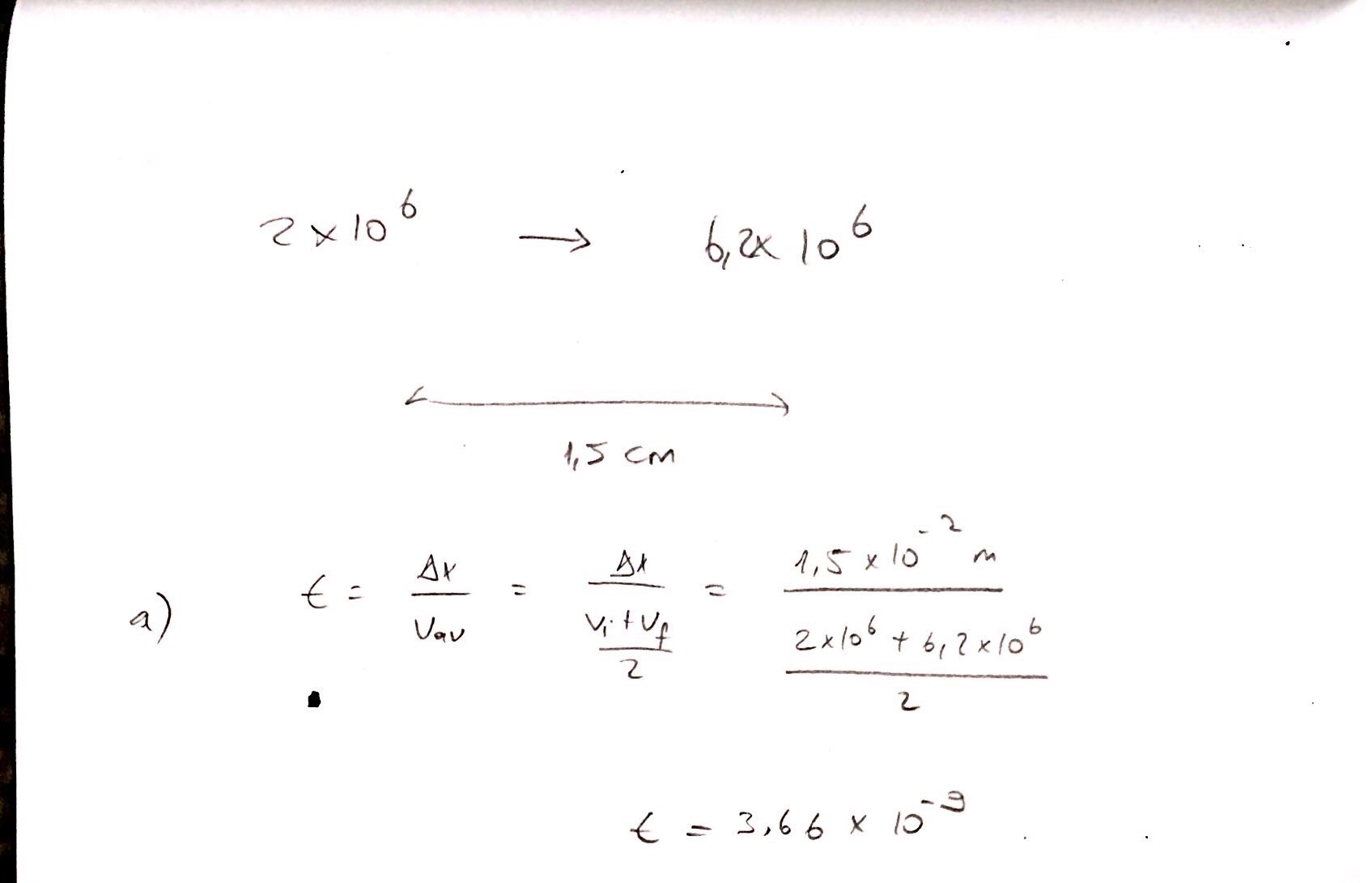
An electron in a cathode-ray tube accelerates from a speed of 2.00x...
An electron in a cathode-ray tube accelerates from a speed of 2.00x...