Subjects
Online Tutoring
Homework Help
Homework Library
Tutors
Online Classes
More
Bookstore
Blog
Technical Tips
FAQ
Contact Us
Get Help Now
Home
Homework Library
Physics
General Physics
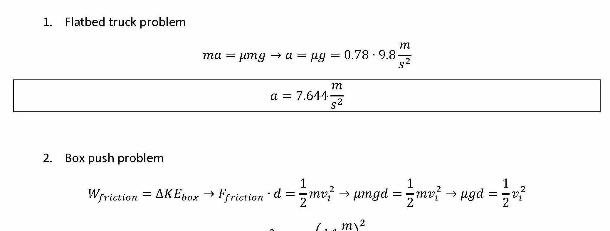
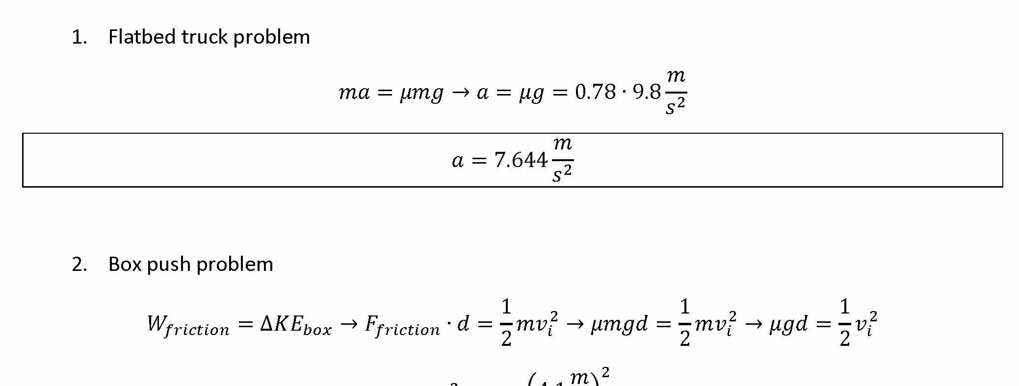
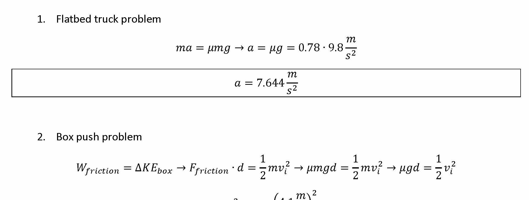
A flatbed truck is carrying a heavy crate. The coefficient of stati...
A flatbed truck is carrying a heavy crate. The coefficient of stati...