Subjects
Online Tutoring
Homework Help
Homework Library
Tutors
Online Classes
More
Bookstore
Blog
Technical Tips
FAQ
Contact Us
Get Help Now
Home
Homework Library
Physics
General Physics
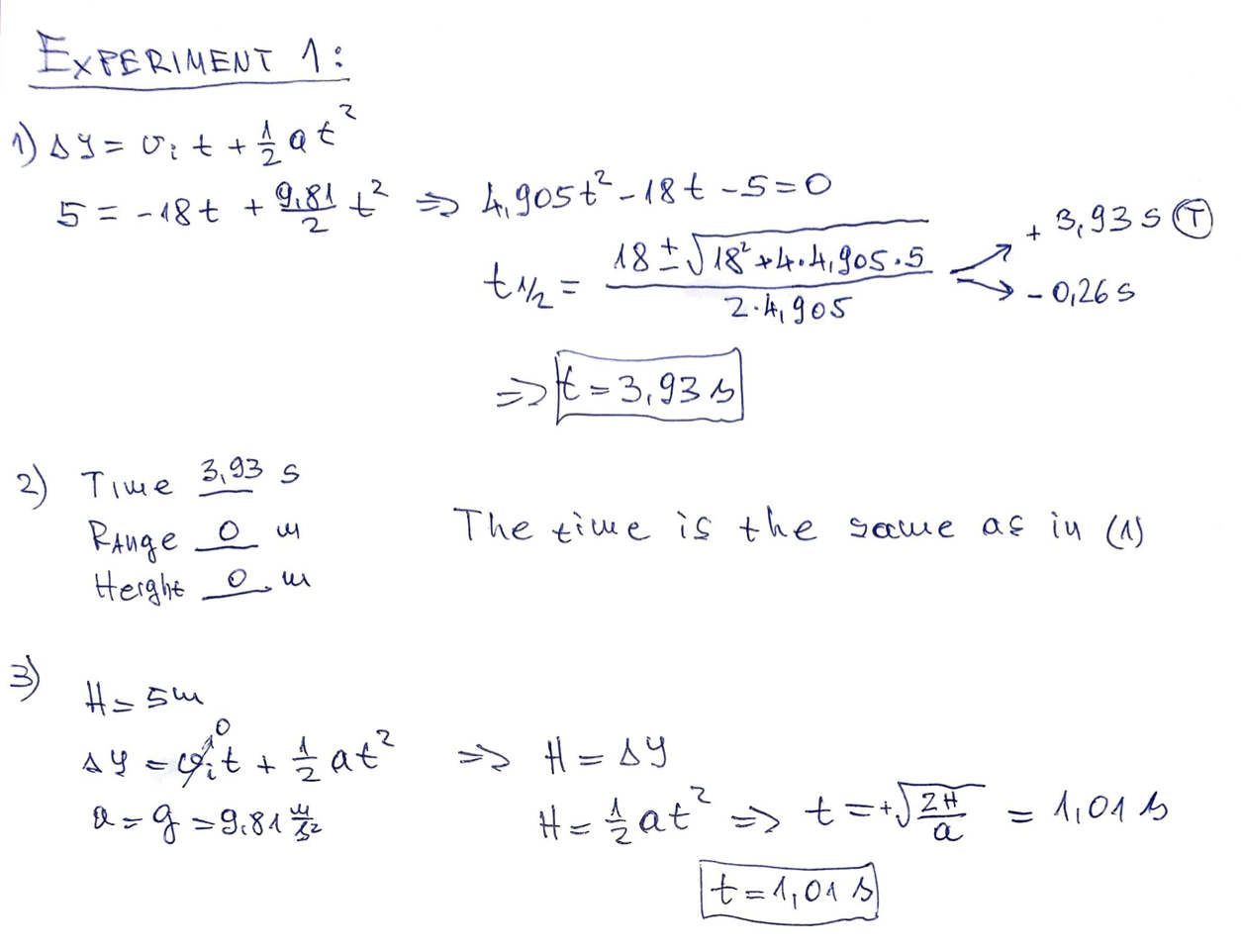
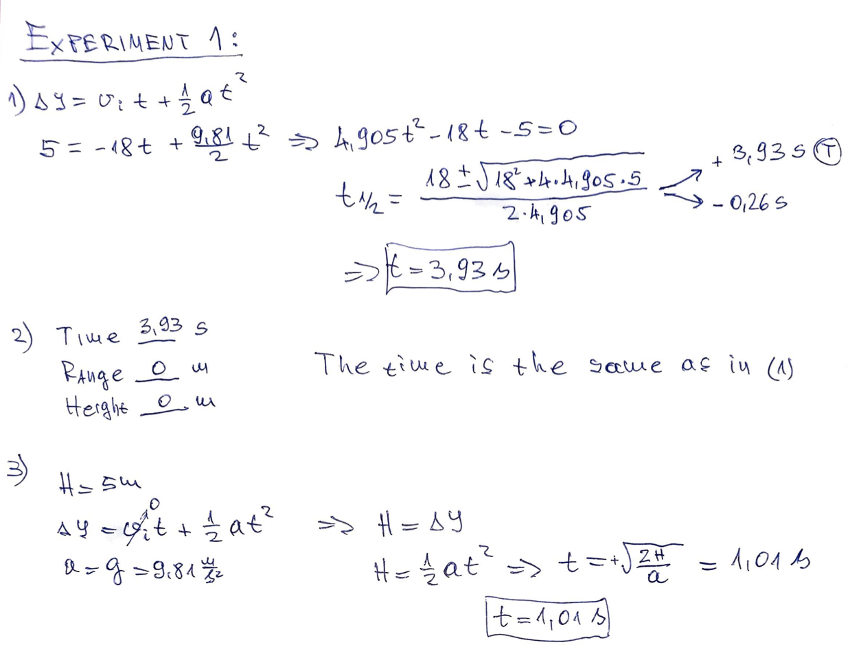
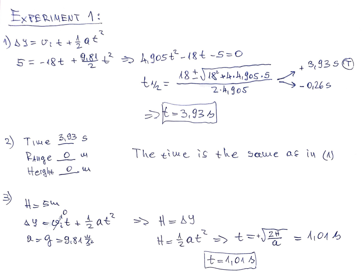
Lab: Projectile Motion and Free Fall By investigating the motion o...
Lab: Projectile Motion and Free Fall By investigating the motion o...