Subjects
Online Tutoring
Homework Help
Homework Library
Tutors
Online Classes
More
Bookstore
Blog
Technical Tips
FAQ
Contact Us
Get Help Now
Home
Homework Library
Physics
Mathematical Physics
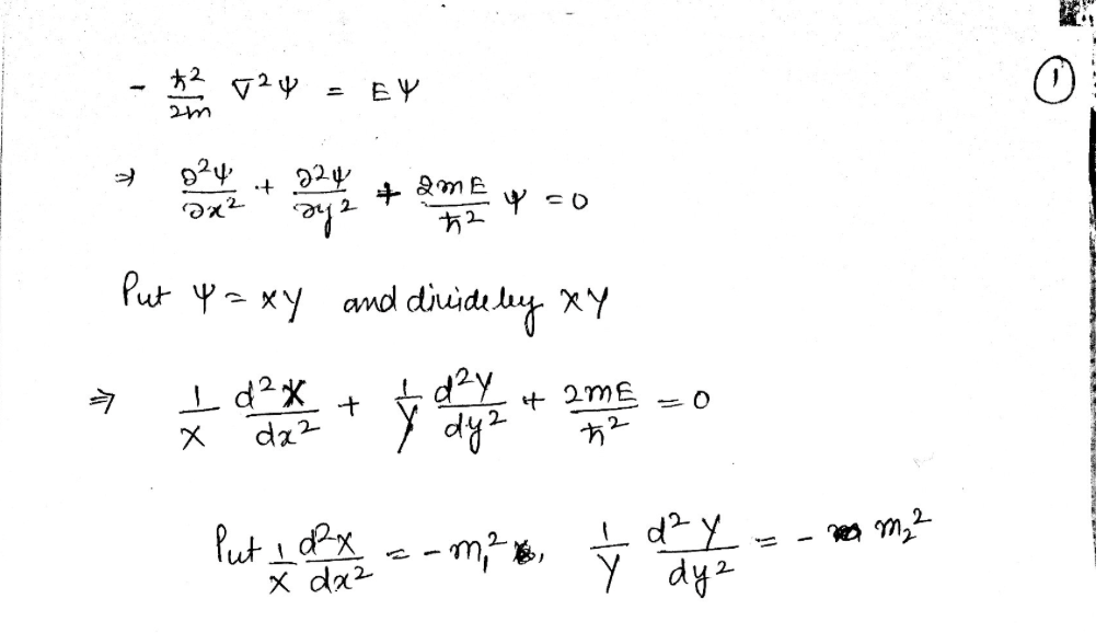
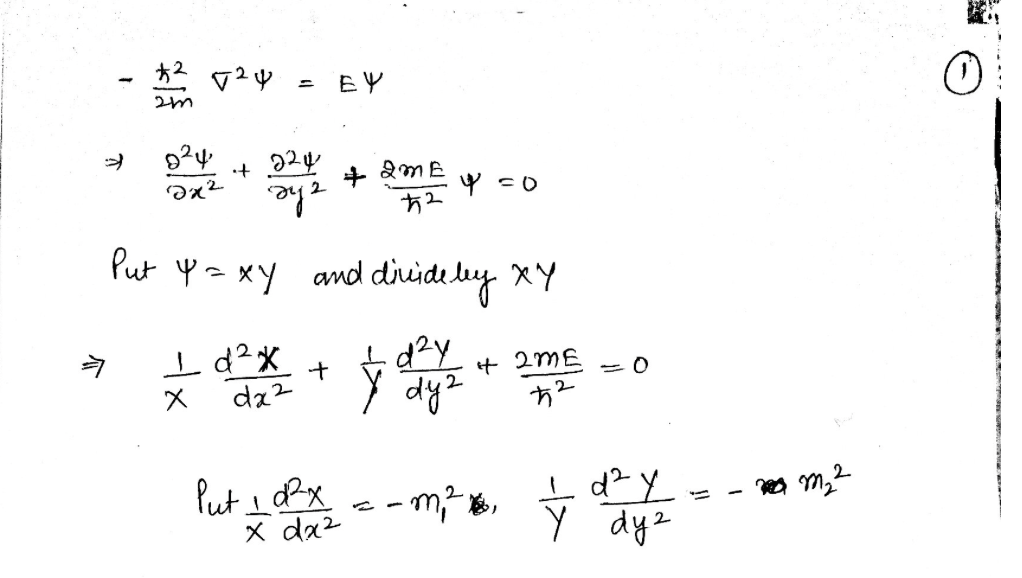
6. Let V = 0 in the Schrödinger equation (3.22) and separate var...
6. Let V = 0 in the Schrödinger equation (3.22) and separate varia...