Subjects
Online Tutoring
Homework Help
Homework Library
Tutors
Online Classes
More
Bookstore
Blog
Technical Tips
FAQ
Contact Us
Get Help Now
Home
Homework Library
Physics
Mathematical Physics
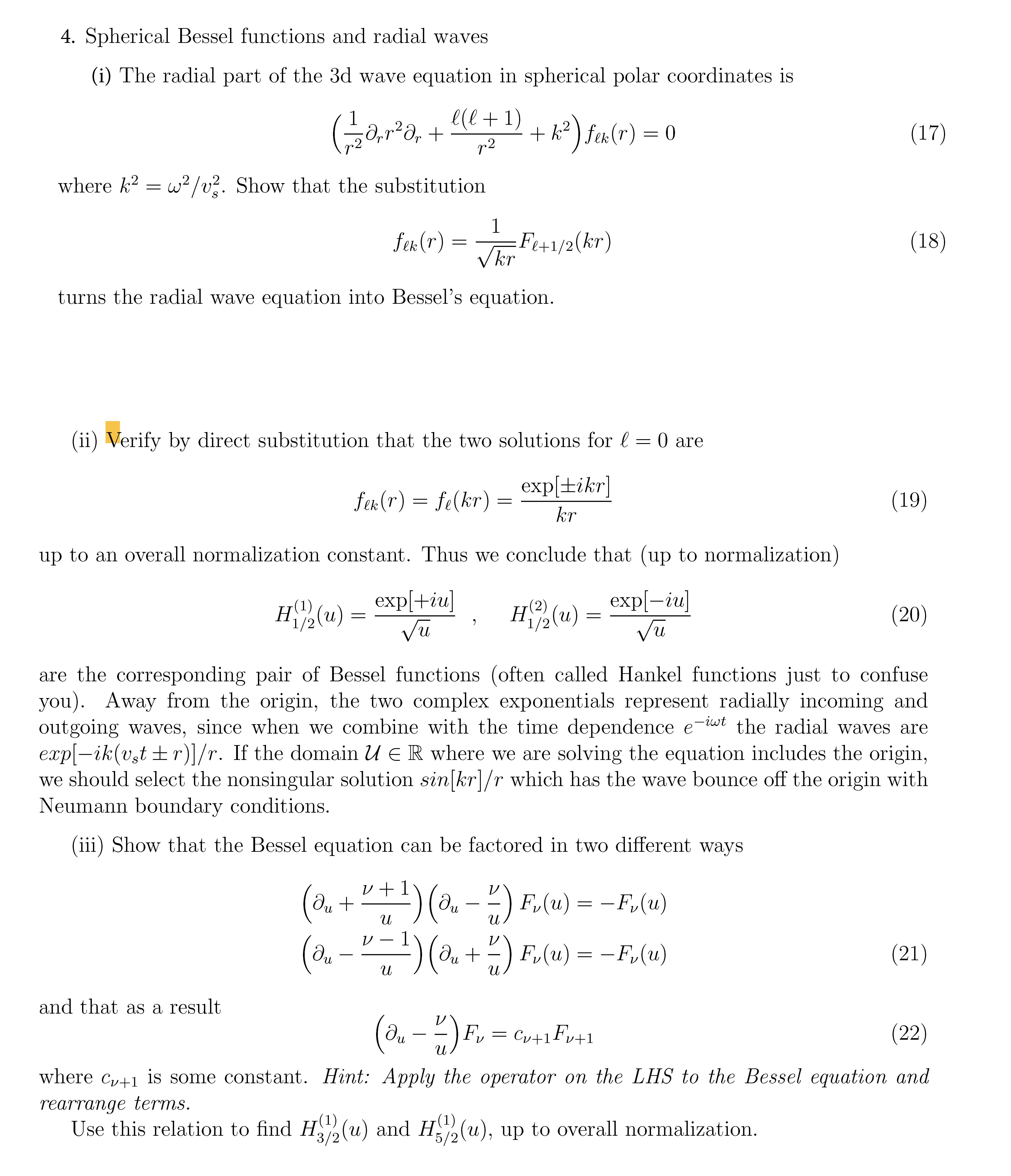
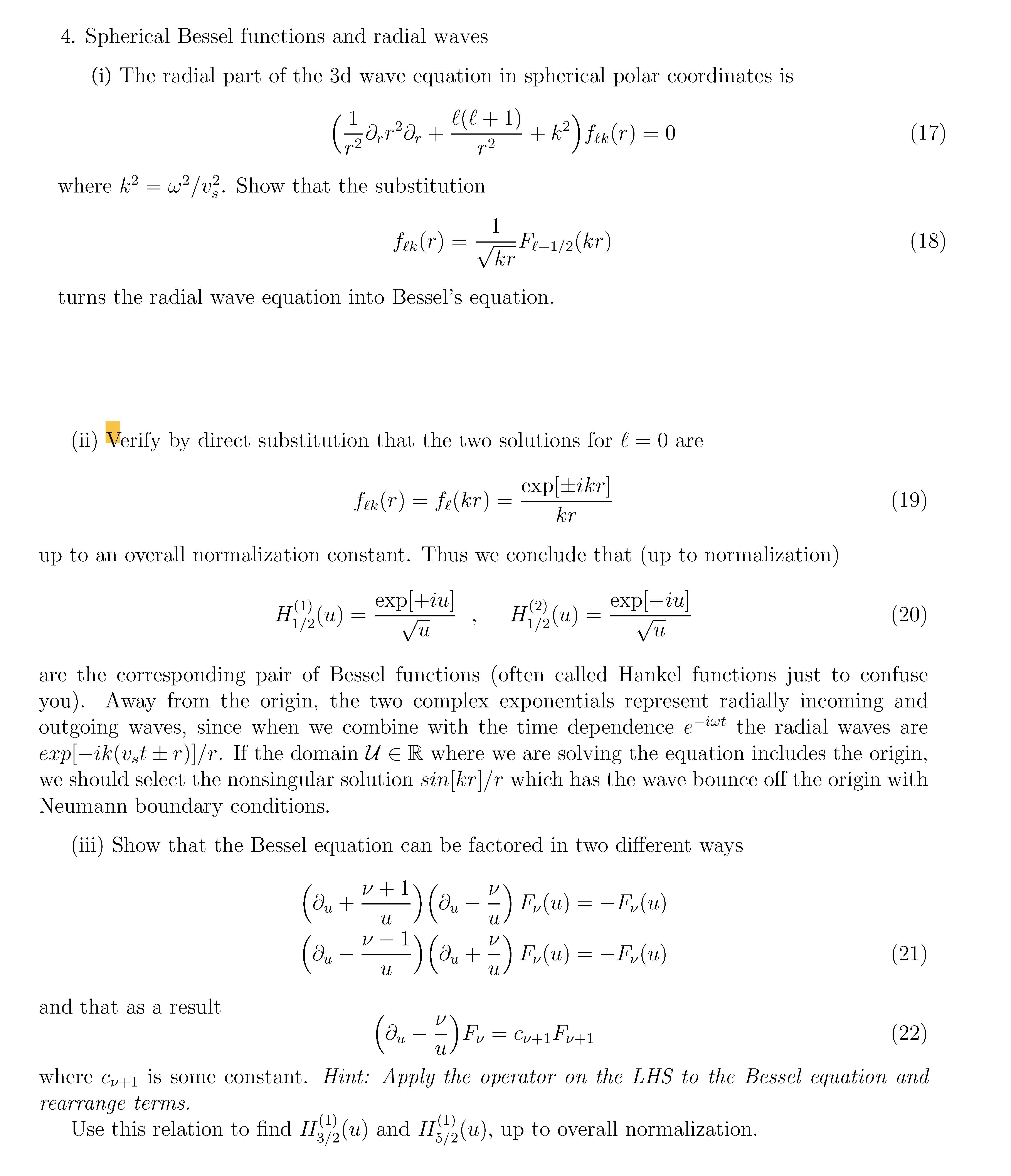
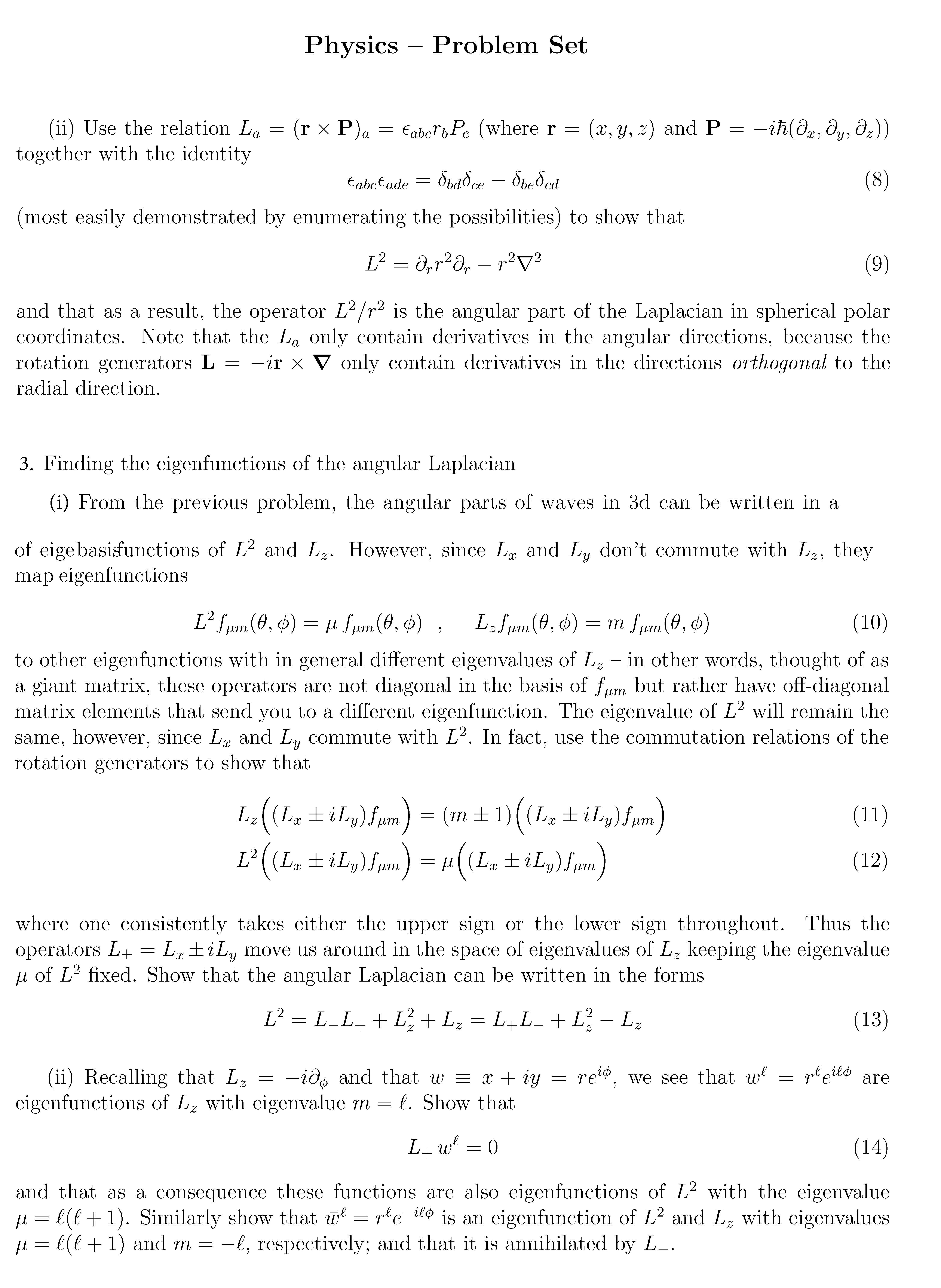
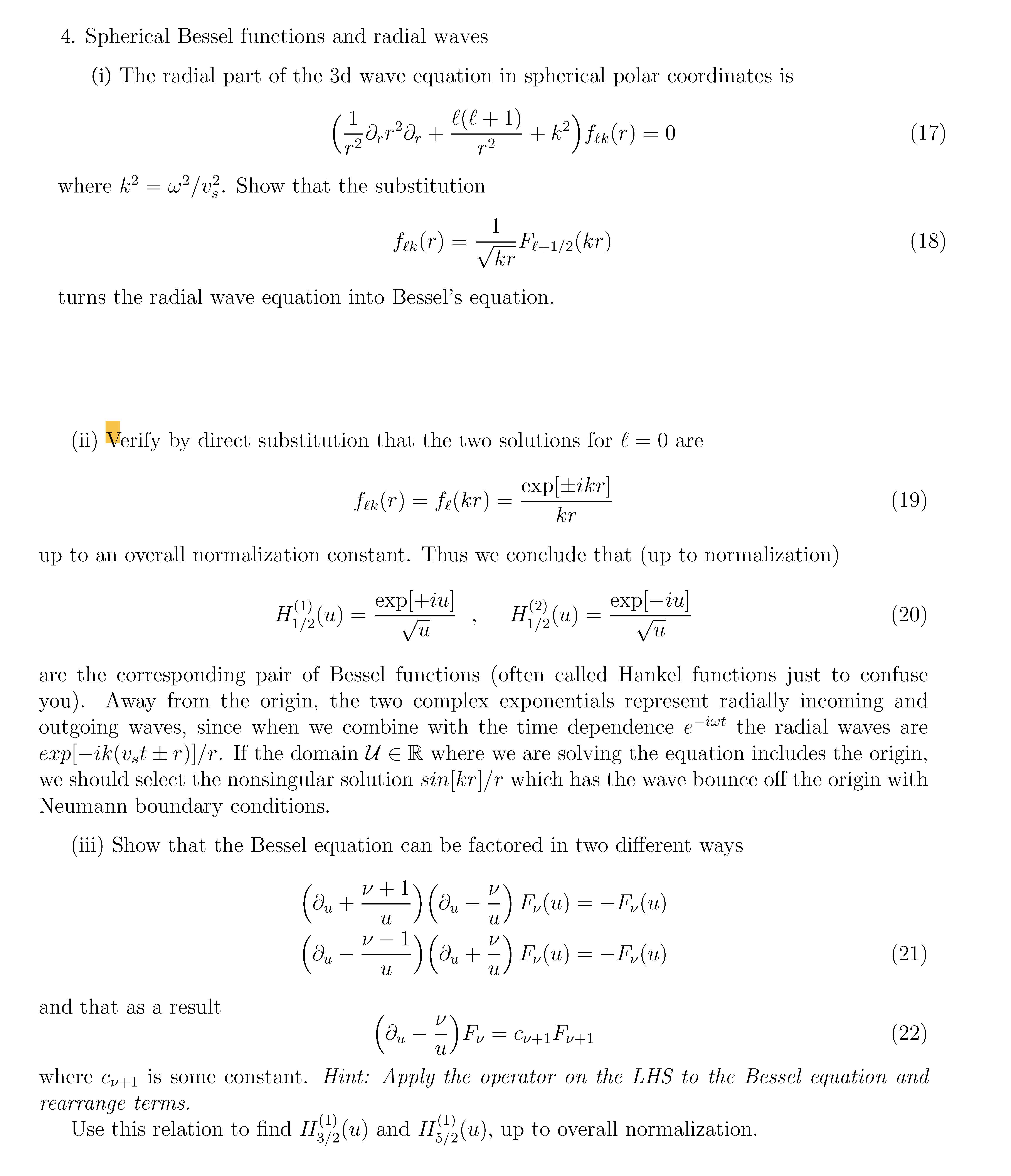
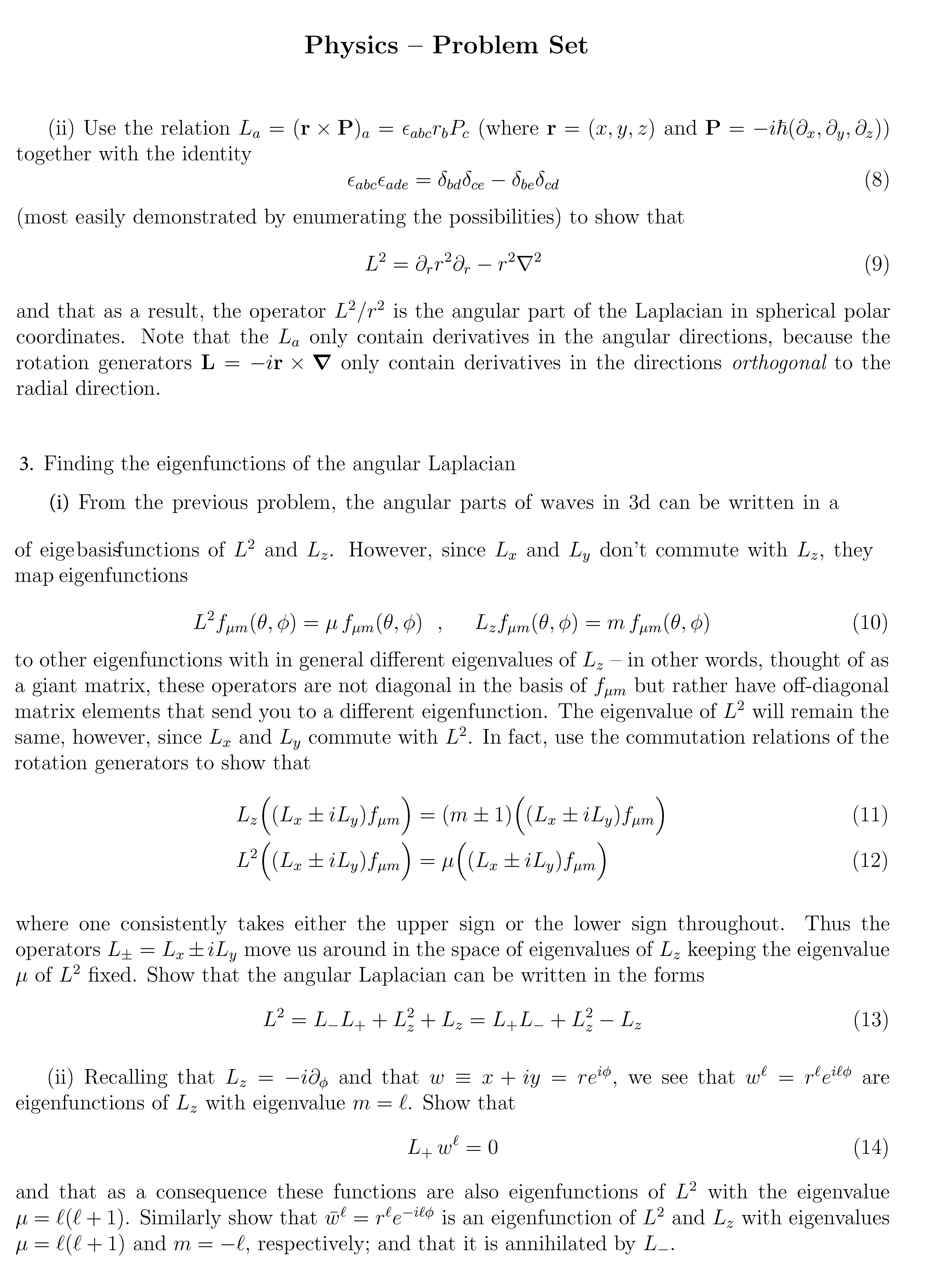
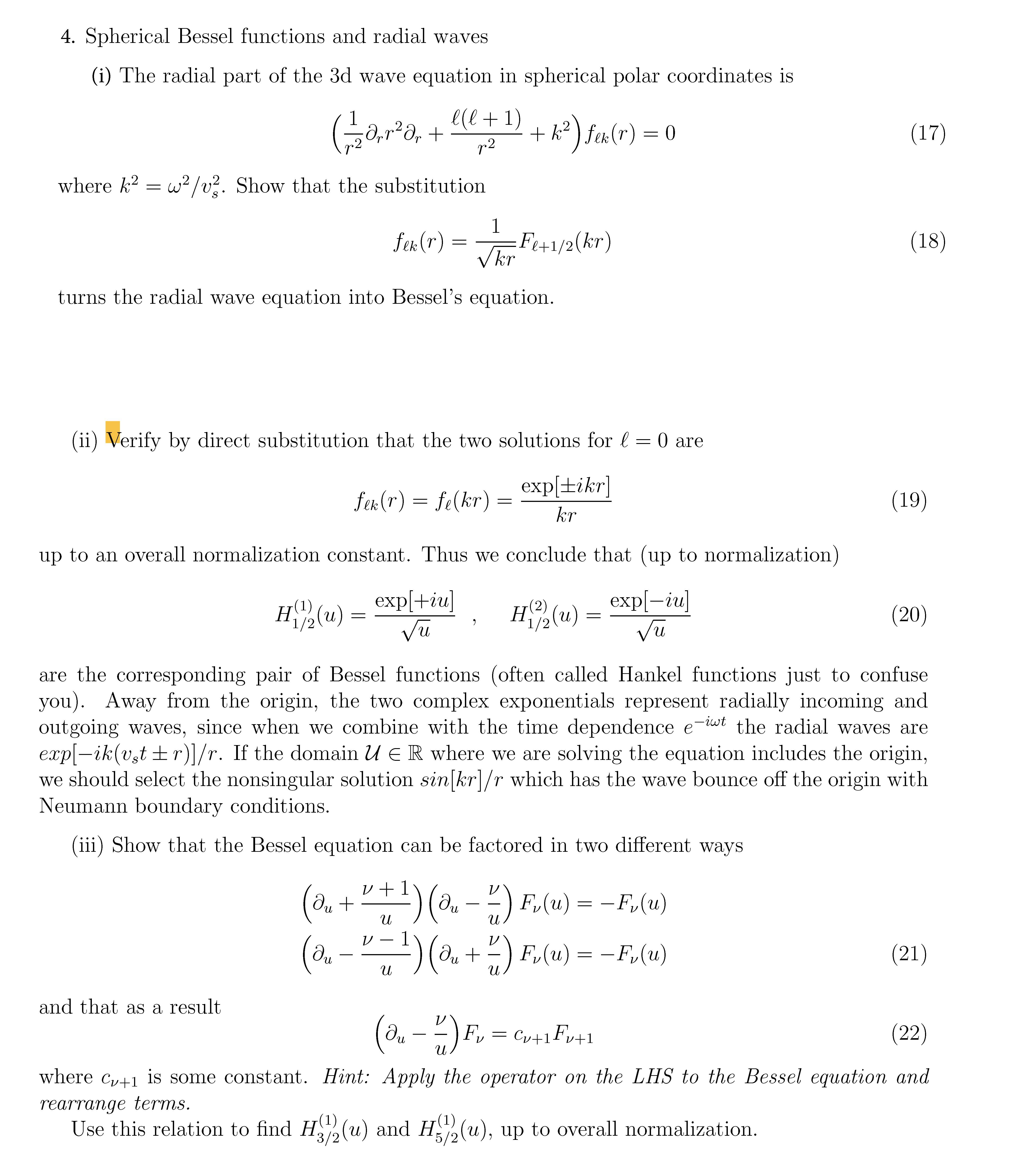
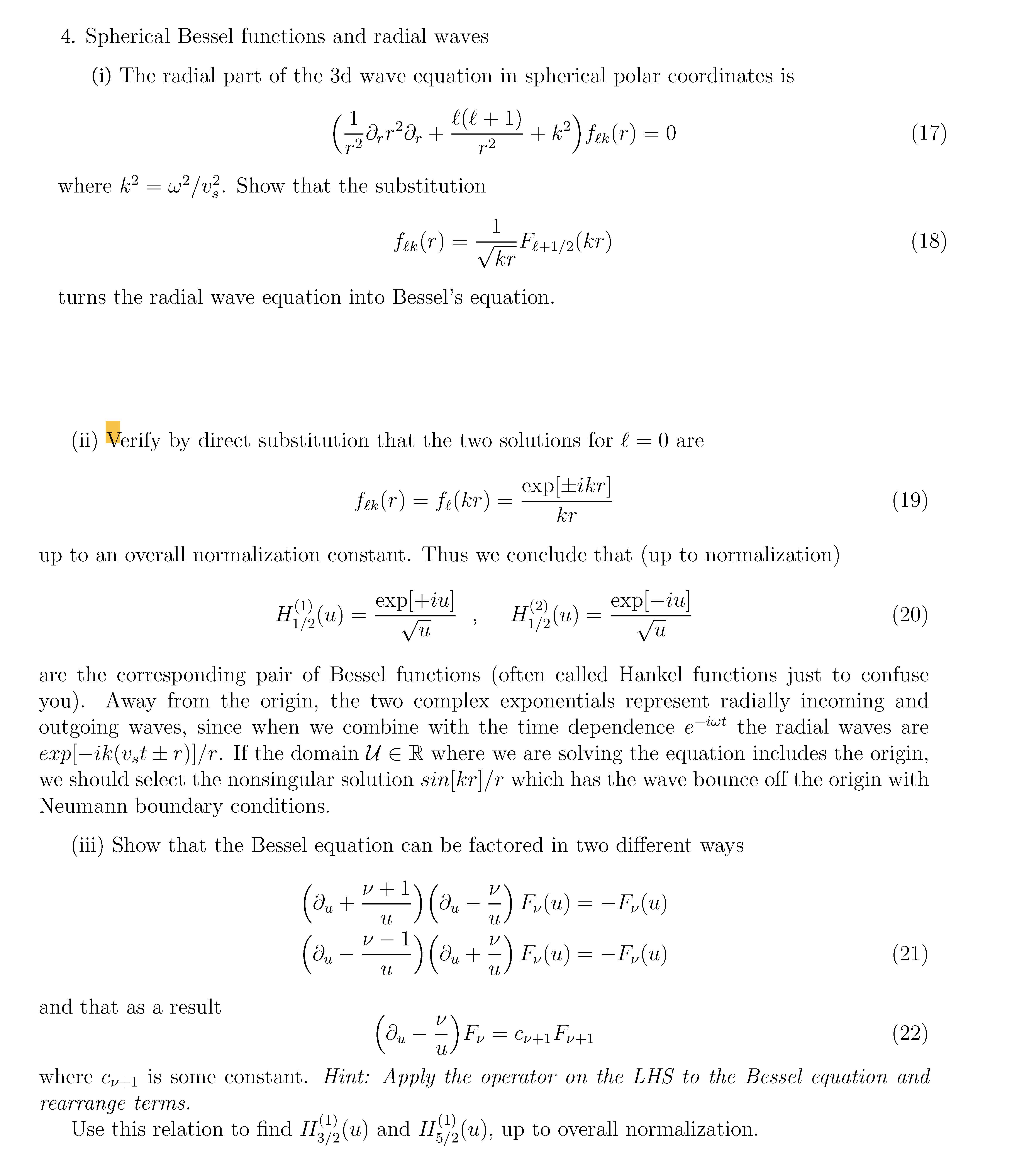
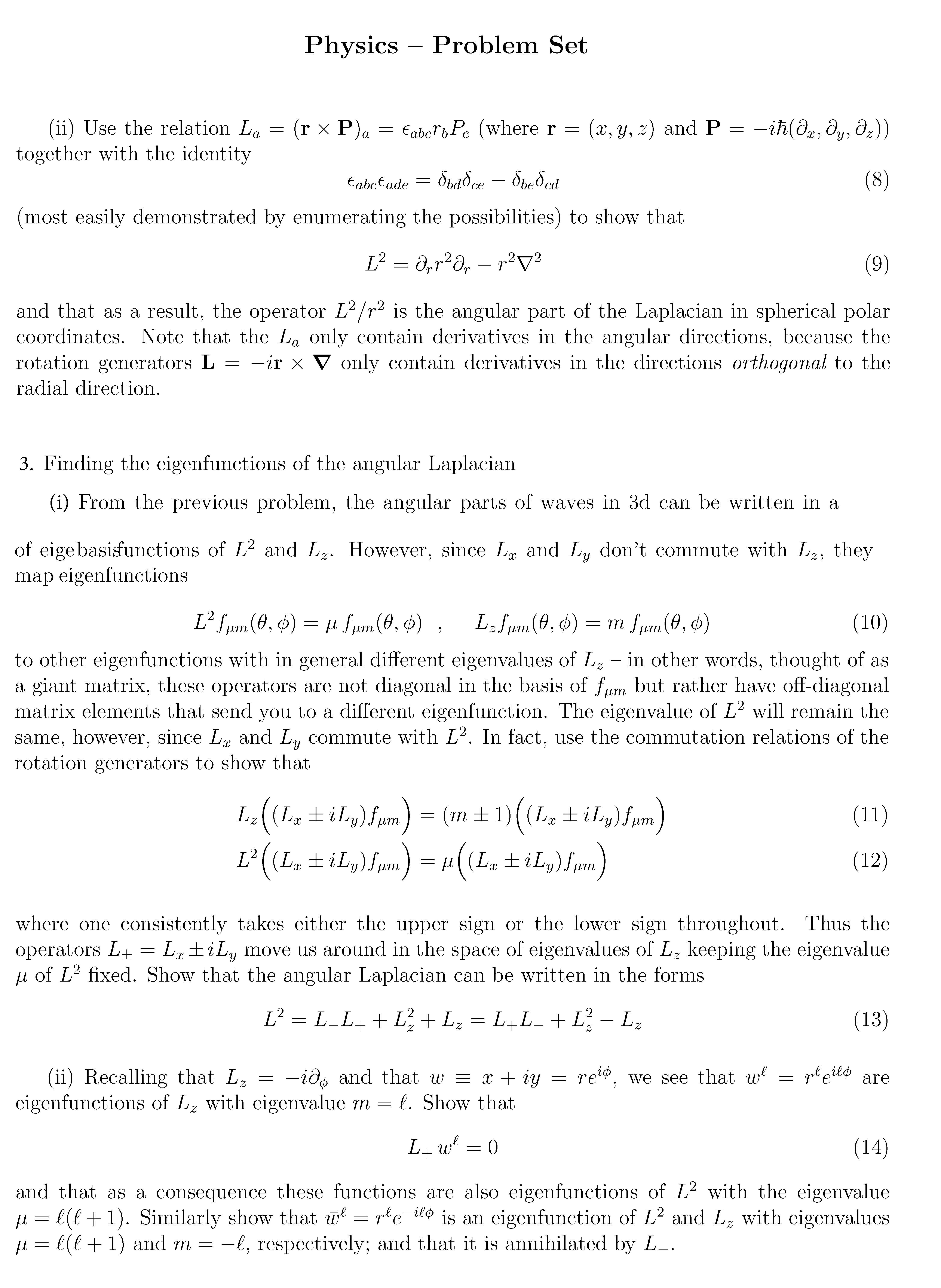
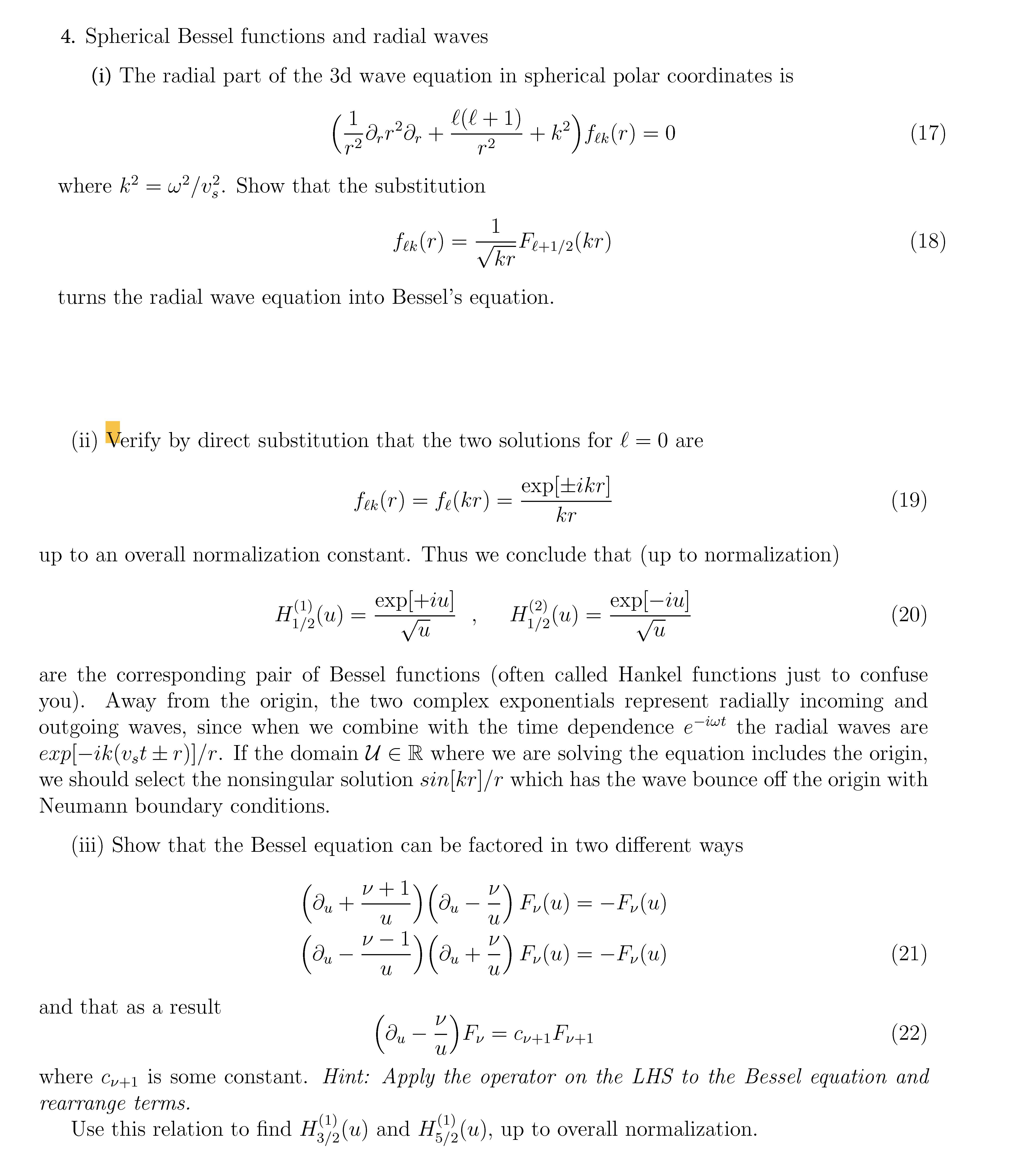
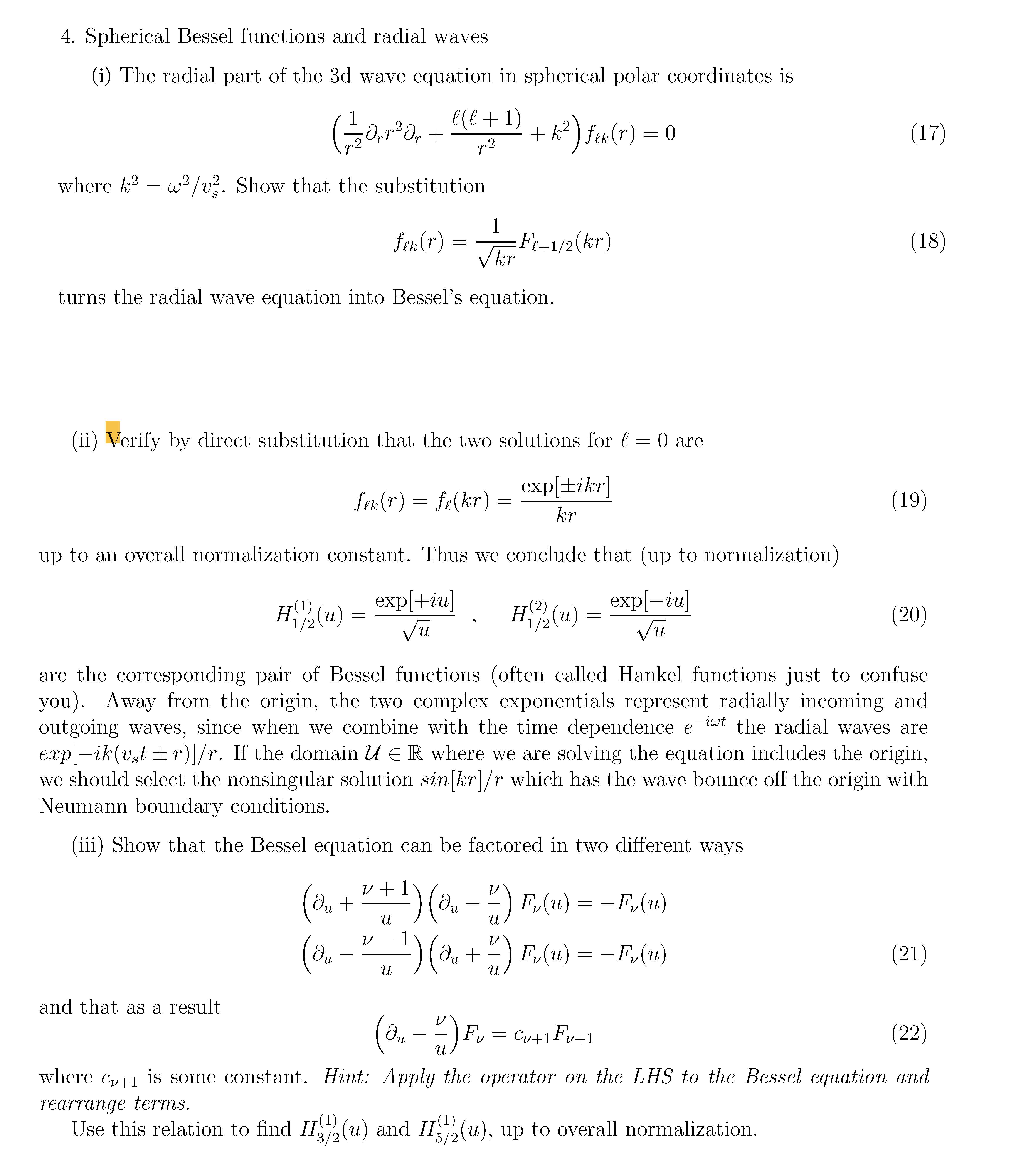
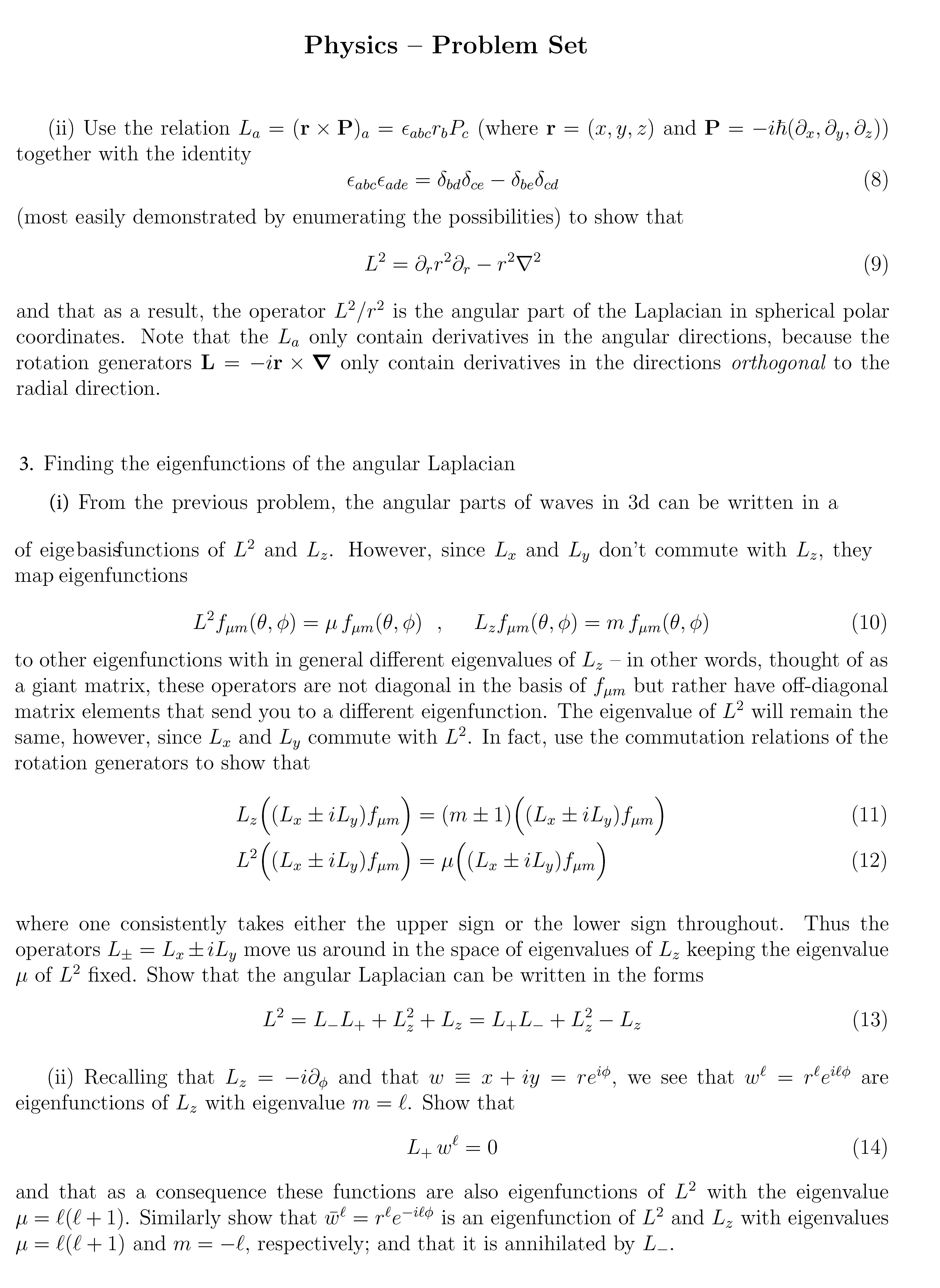
Physics – Problem Set (ii) Use the relation La = (r ⇥...
Physics – Problem Set (ii) Use the relation La = (r ⇥ P)a = âœ...