Subjects
Online Tutoring
Homework Help
Homework Library
Tutors
More
Bookstore
Blog
Technical Tips
FAQ
Contact Us
Get Help Now
Home
Homework Library
Physics
Physics - Other
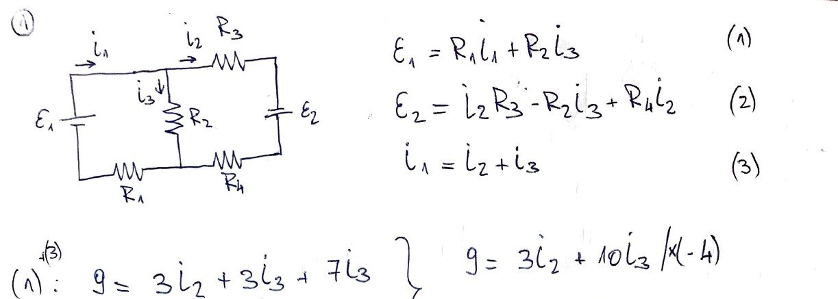
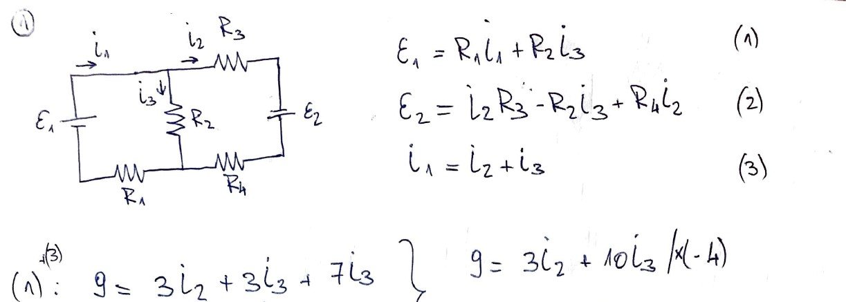
Question 1) Consider the circuit diagram shown below. Using the va...
Question 1) Consider the circuit diagram shown below. Using the va...