Subjects
Online Tutoring
Homework Help
Homework Library
Tutors
Online Classes
More
Bookstore
Blog
Technical Tips
FAQ
Contact Us
Get Help Now
Home
Homework Library
Physics
Physics - Other
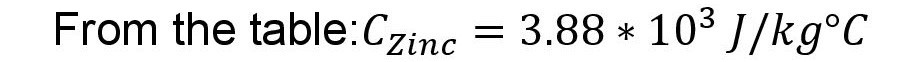
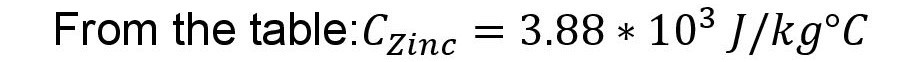
Questions: 1. How much energy does it take to change 25 grams of...
Questions: 1. How much energy does it take to change 25 grams of...