Subjects
Online Tutoring
Homework Help
Homework Library
Tutors
More
Bookstore
Blog
Technical Tips
FAQ
Contact Us
Get Help Now
Home
Homework Library
Physics
Physics - Other
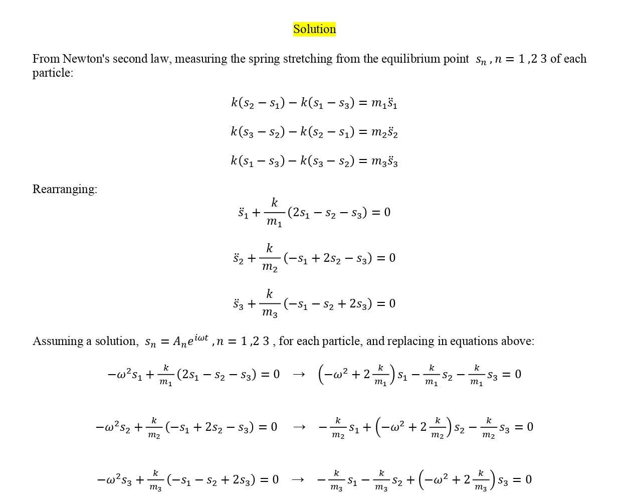
(20 marks) Three particles are constrained to move in a circular p...
(20 marks) Three particles are constrained to move in a circular p...