Subjects
Online Tutoring
Homework Help
Homework Library
Tutors
Online Classes
More
Bookstore
Blog
Technical Tips
FAQ
Contact Us
Get Help Now
Home
Homework Library
Physics
Physics - Other
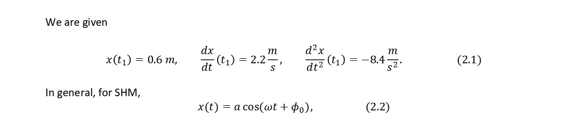
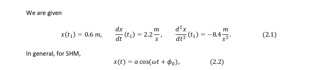
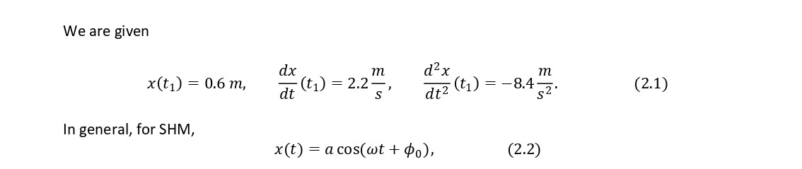
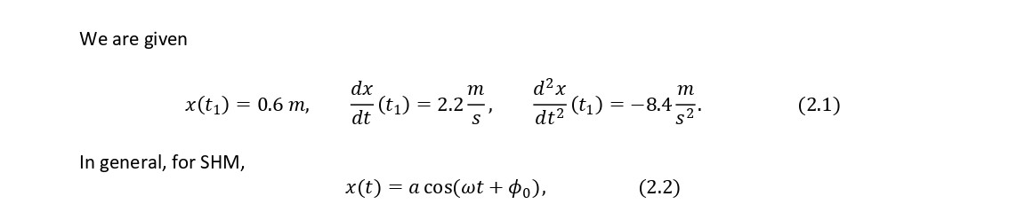
Question 2 You are watching an object that is moving in SHM. Whe...
Question 2 You are watching an object that is moving in SHM. Whe...