Subjects
Online Tutoring
Homework Help
Homework Library
Tutors
Online Classes
More
Bookstore
Blog
Technical Tips
FAQ
Contact Us
Get Help Now
Home
Homework Library
Physics
Physics - Other
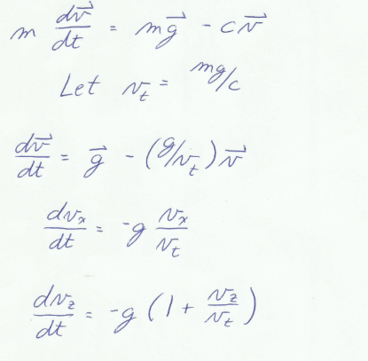
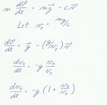
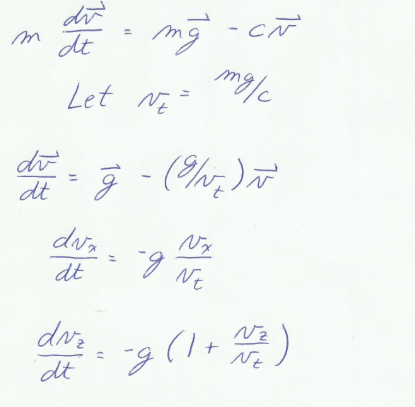
A cannon is placed atop a 35.0 meter tower. To the left of the tow...
A cannon is placed atop a 35.0 meter tower. To the left of the tow...