Subjects
Online Tutoring
Homework Help
Homework Library
Tutors
Online Classes
More
Bookstore
Blog
Technical Tips
FAQ
Contact Us
Get Help Now
Home
Homework Library
Physics
Physics - Other
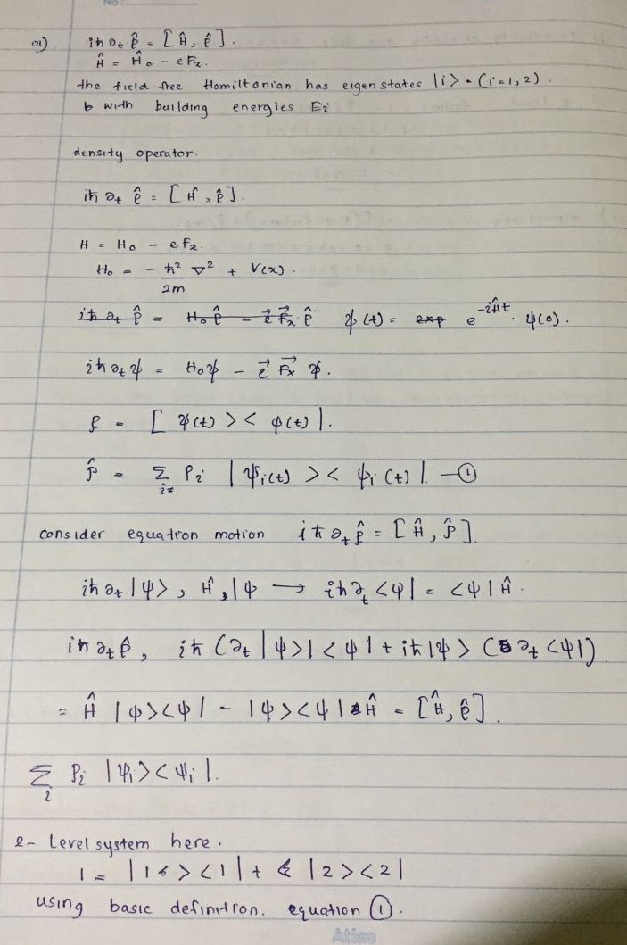
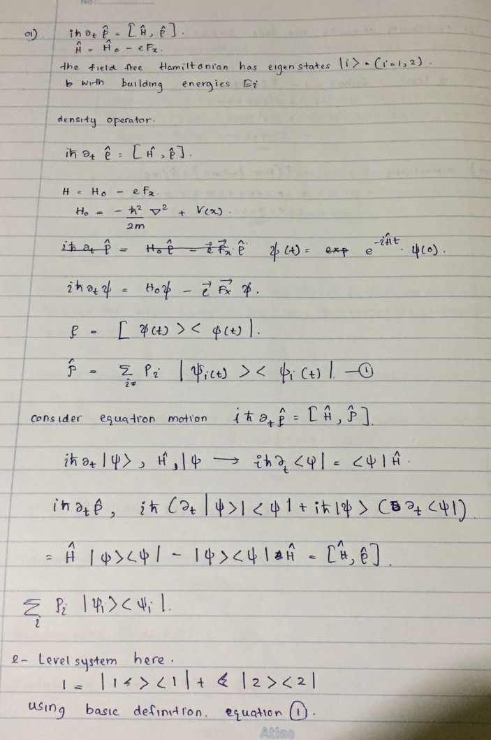
1. (5 points) The equation of motion of the density operator is giv...
1. (5 points) The equation of motion of the density operator is giv...