Subjects
Online Tutoring
Homework Help
Homework Library
Tutors
Online Classes
More
Bookstore
Blog
Technical Tips
FAQ
Contact Us
Get Help Now
Home
Homework Library
Physics
Physics - Other
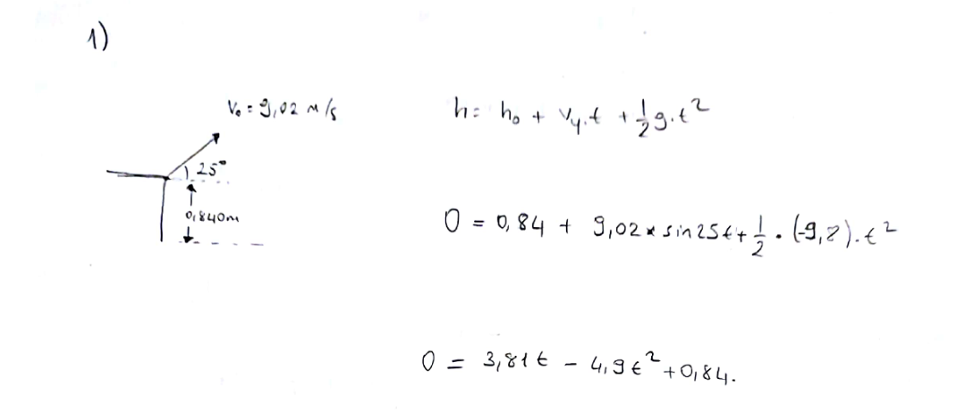
#1 Dock diving is great form of athletic competition for dogs of al...
#1 Dock diving is great form of athletic competition for dogs of al...