Subjects
Online Tutoring
Homework Help
Homework Library
Tutors
Online Classes
More
Bookstore
Blog
Technical Tips
FAQ
Contact Us
Get Help Now
Home
Homework Library
Physics
Physics - Other
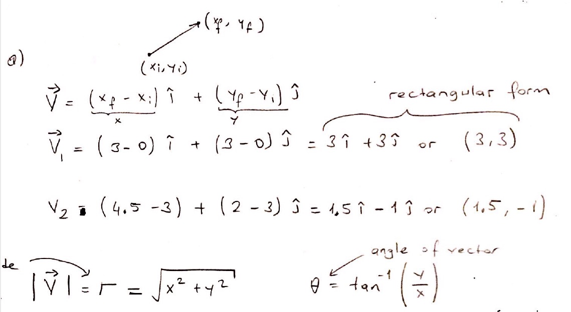
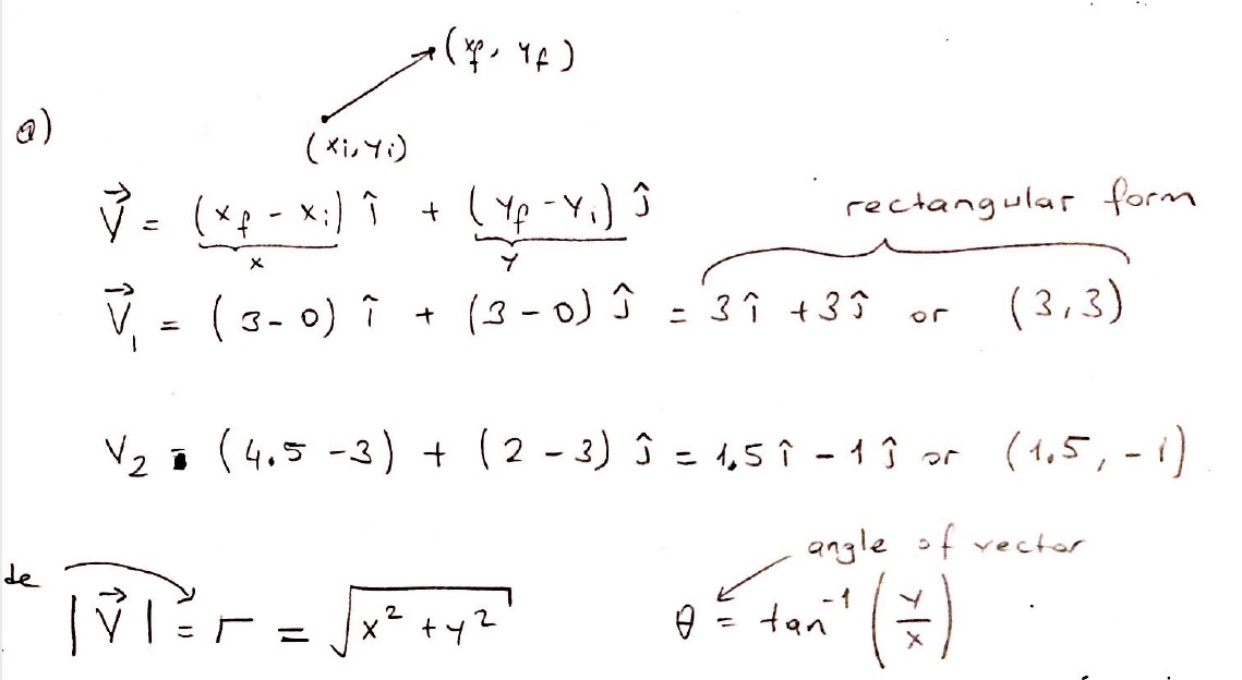
Homework #1 Given: (3,3) V2 V1 (4.5,2) (0,0) a) Write expres...
Homework #1 Given: (3,3) V2 V1 (4.5,2) (0,0) a) Write expres...