Subjects
Online Tutoring
Homework Help
Homework Library
Tutors
More
Bookstore
Blog
Technical Tips
FAQ
Contact Us
Get Help Now
Home
Homework Library
Physics
Physics - Other
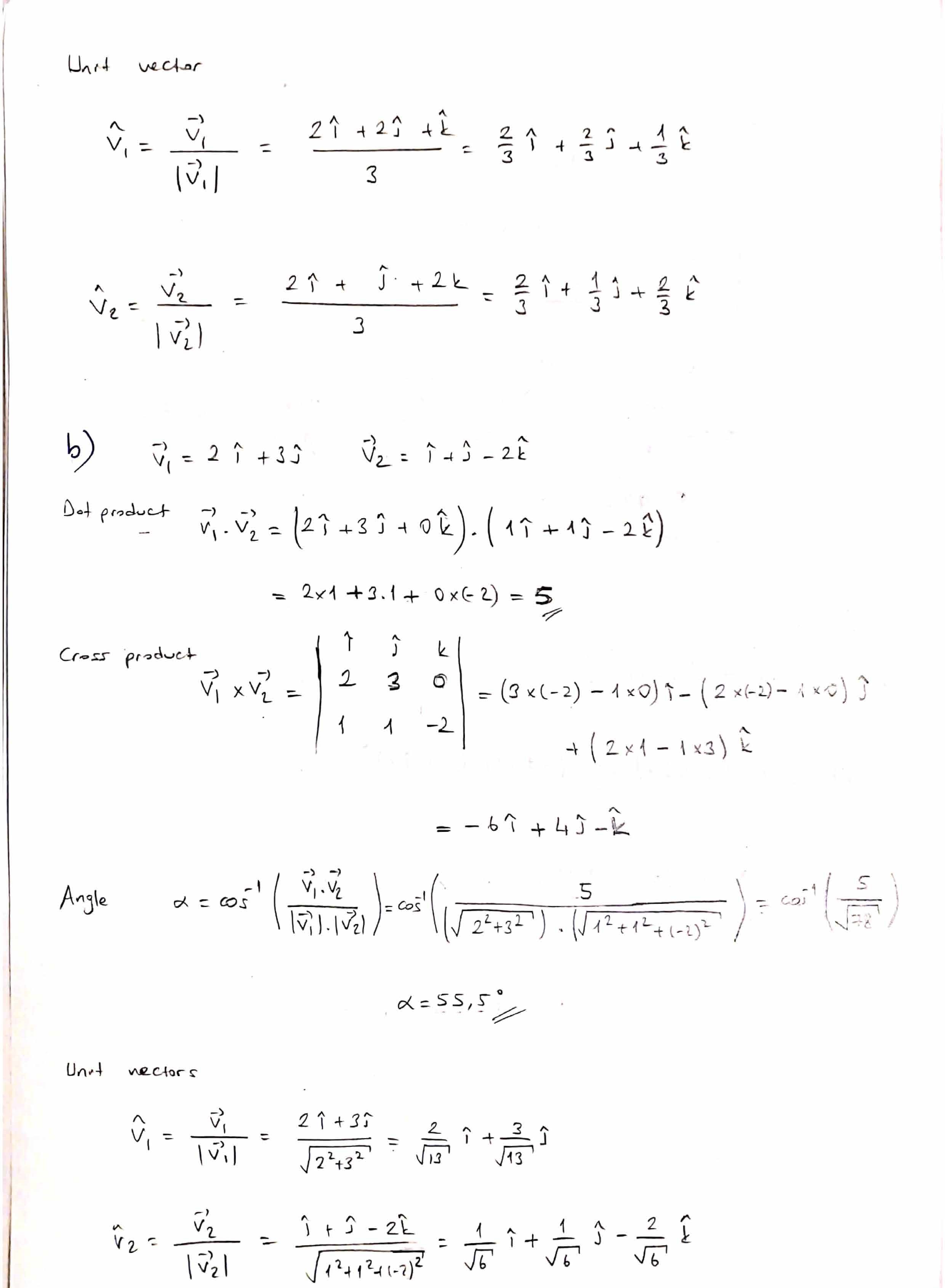
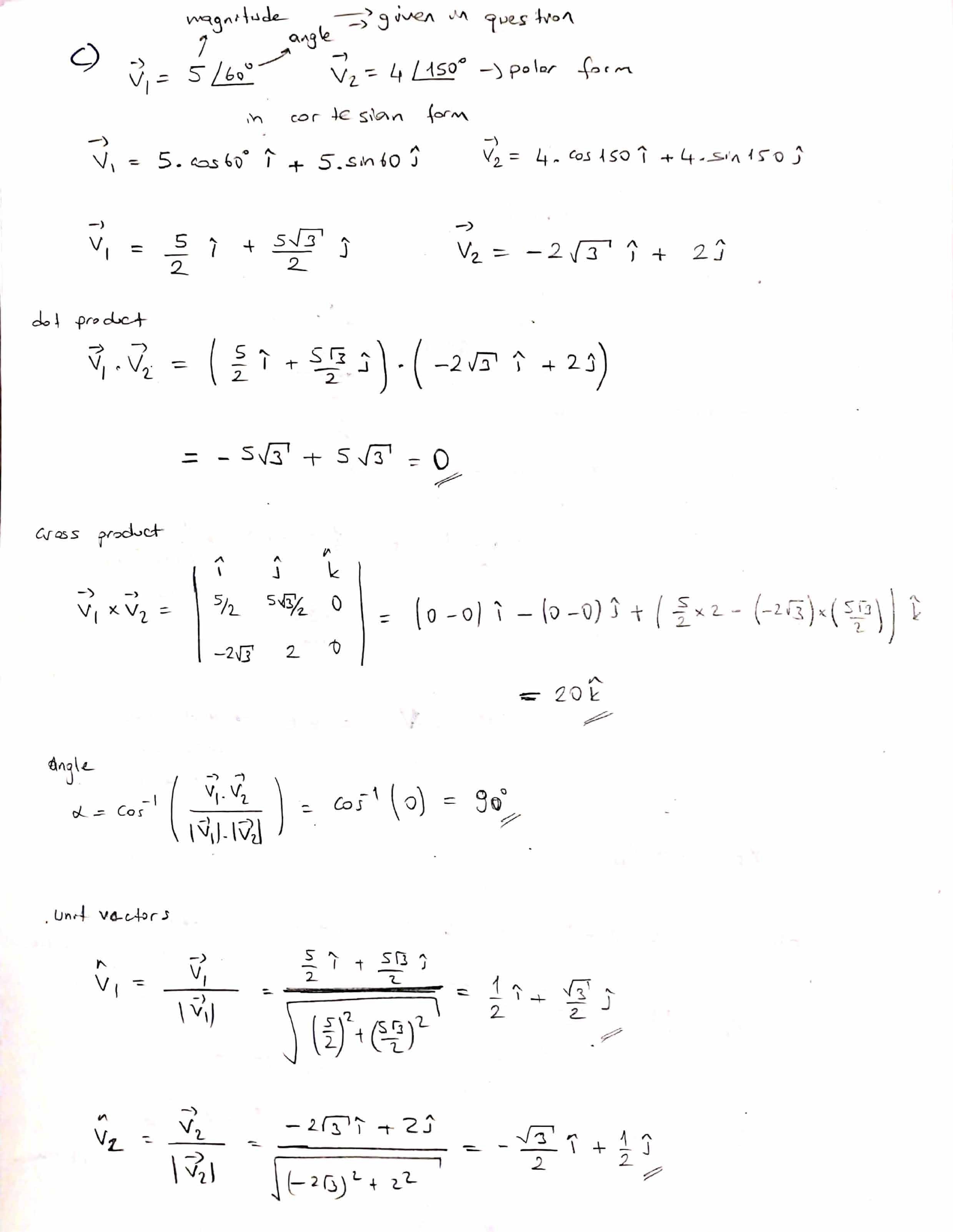
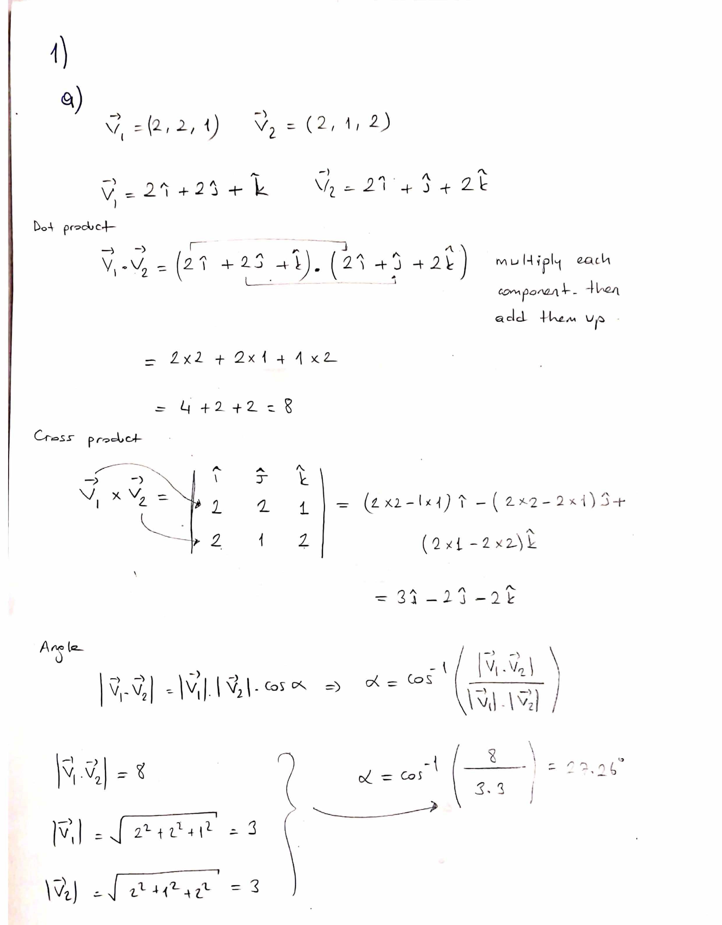
1. Calculate 01.02, UT X U2, the angle O. between VT1 and V2, and t...
1. Calculate 01.02, UT X U2, the angle O. between VT1 and V2, and t...