Subjects
Online Tutoring
Homework Help
Homework Library
Tutors
Online Classes
More
Bookstore
Blog
Technical Tips
FAQ
Contact Us
Get Help Now
Home
Homework Library
Physics
Physics - Other
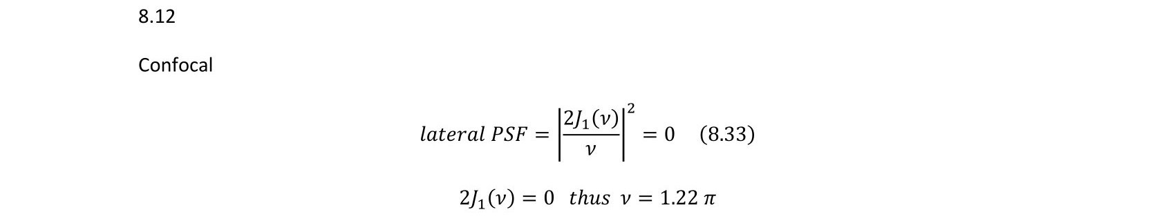
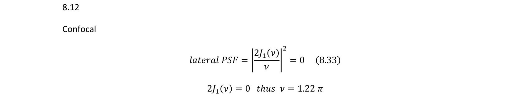
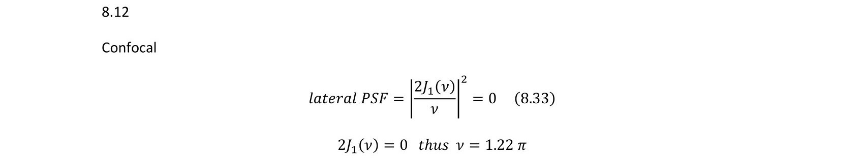
8.12 For both confocal and conventional microscopes, find the radi...
8.12 For both confocal and conventional microscopes, find the radi...