Subjects
Online Tutoring
Homework Help
Homework Library
Tutors
Online Classes
More
Bookstore
Blog
Technical Tips
FAQ
Contact Us
Get Help Now
Home
Homework Library
Physics
Physics - Other
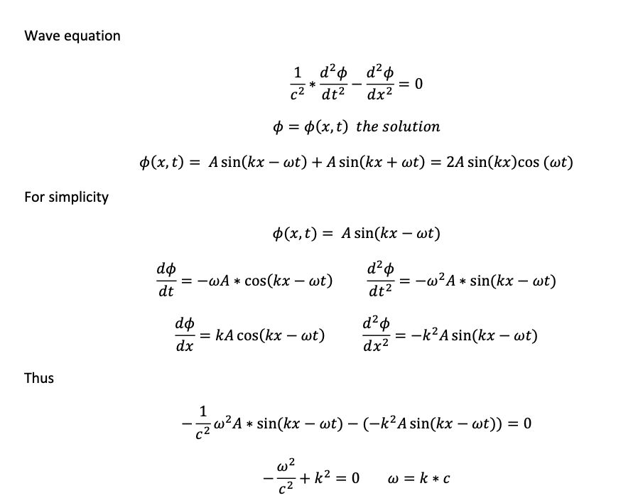
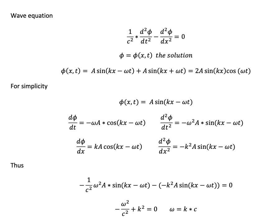
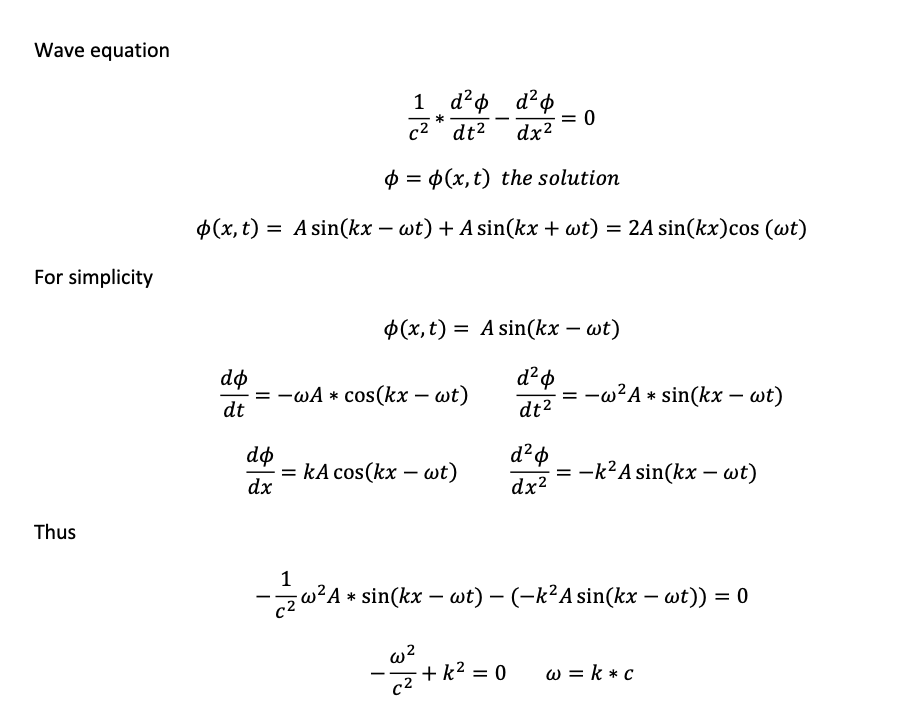
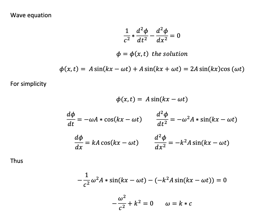
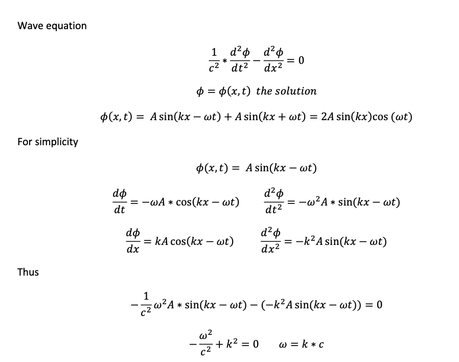
2.3. A field satisfies the wave equation = 0. Ignore the other two...
2.3. A field satisfies the wave equation = 0. Ignore the other two...