Subjects
Online Tutoring
Homework Help
Homework Library
Tutors
Online Classes
More
Bookstore
Blog
Technical Tips
FAQ
Contact Us
Get Help Now
Home
Homework Library
Physics
Physics - Other
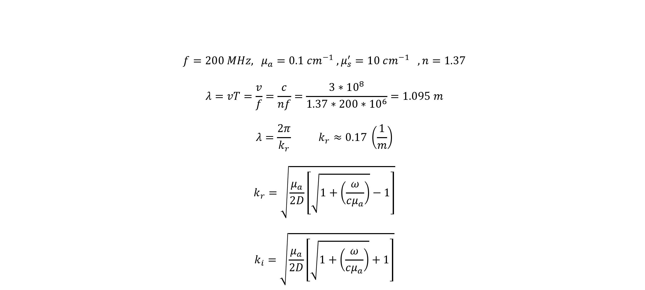
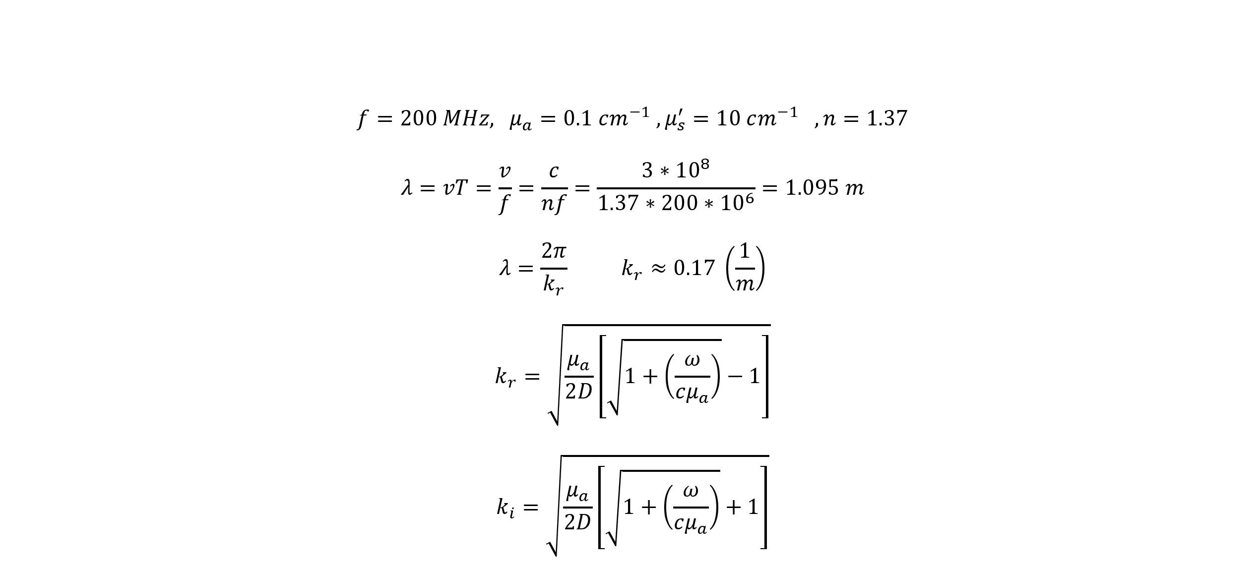
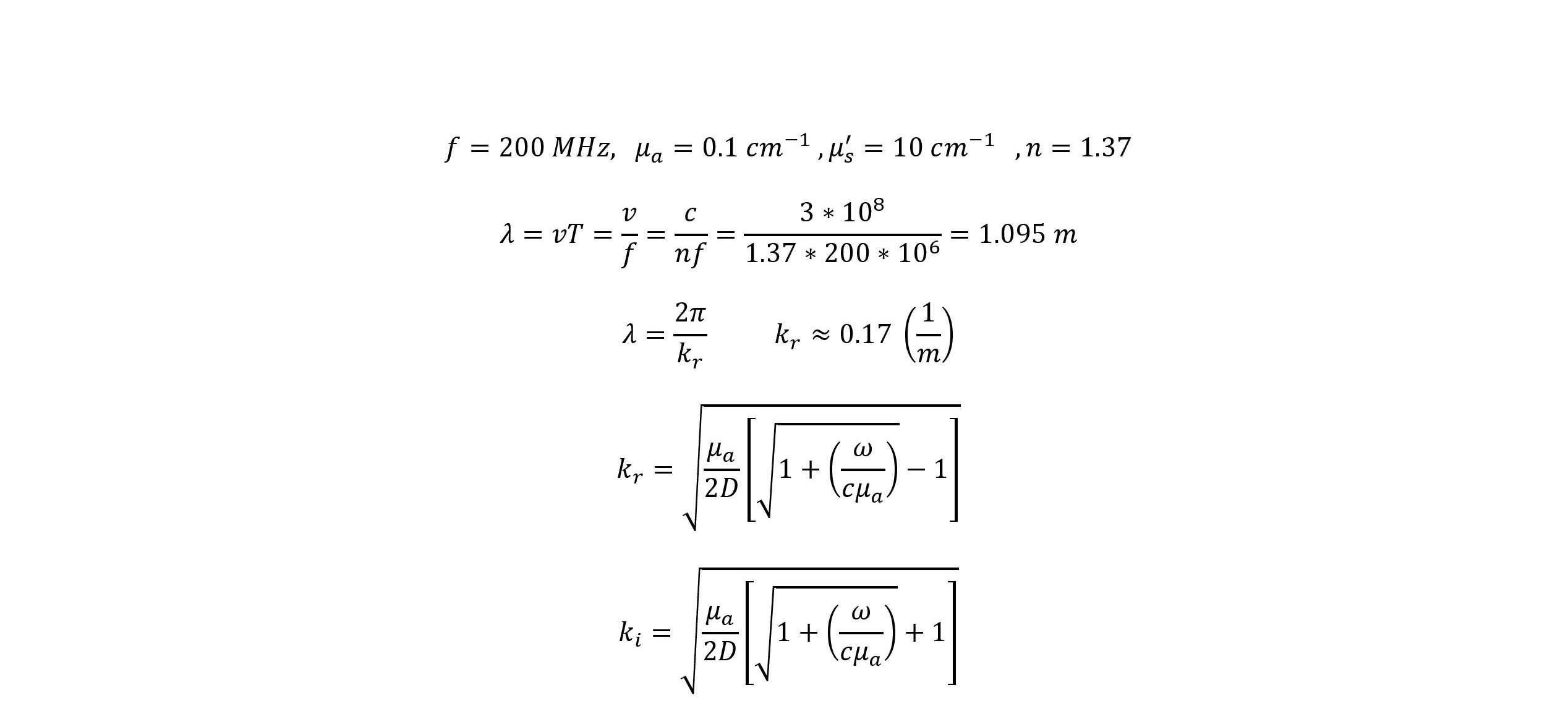
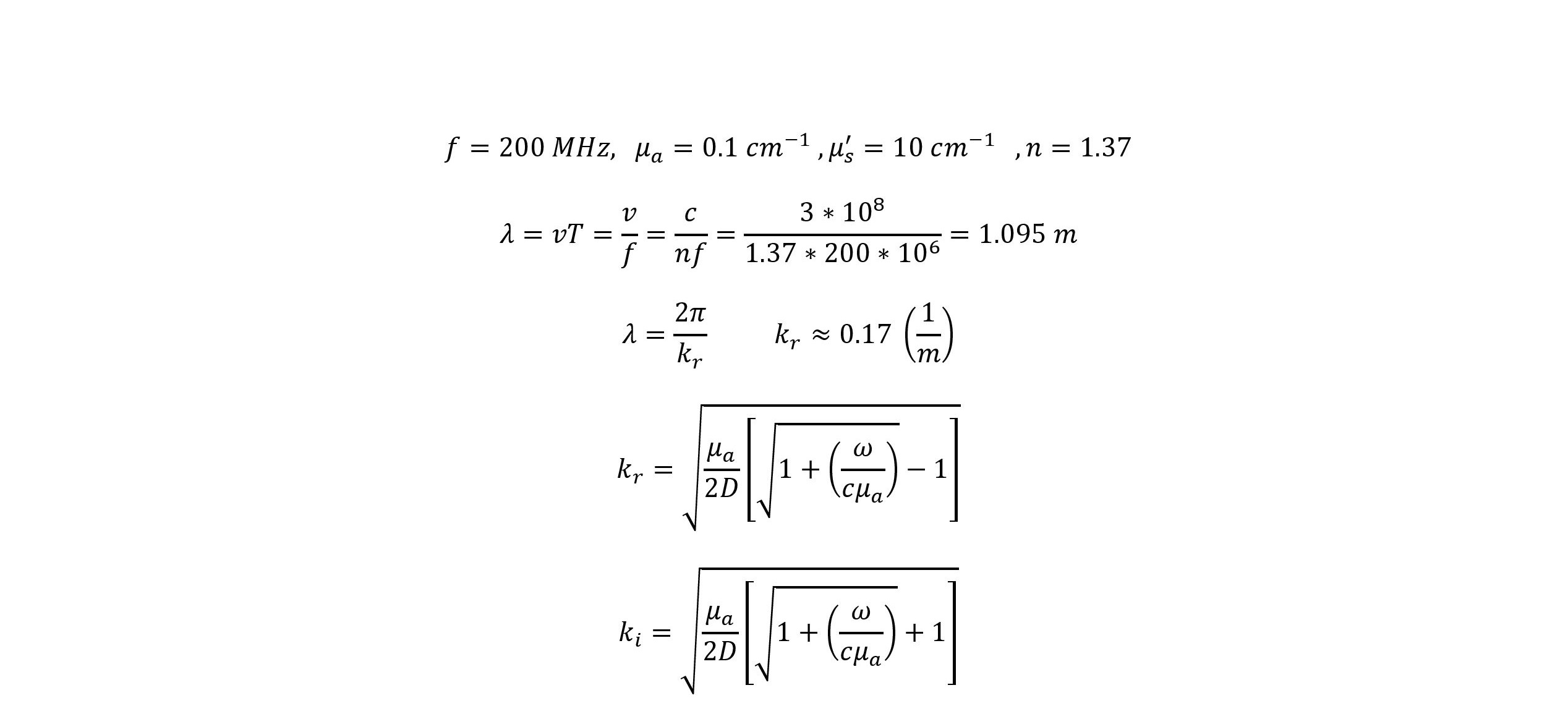
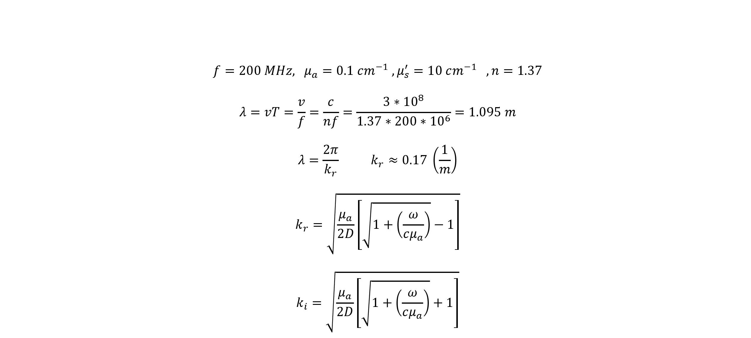
11.7 (a) Calculate the wavelength of a photon-density wave with th...
11.7 (a) Calculate the wavelength of a photon-density wave with th...