Subjects
Online Tutoring
Homework Help
Homework Library
Tutors
Online Classes
More
Bookstore
Blog
Technical Tips
FAQ
Contact Us
Get Help Now
Home
Homework Library
Physics
Physics - Other
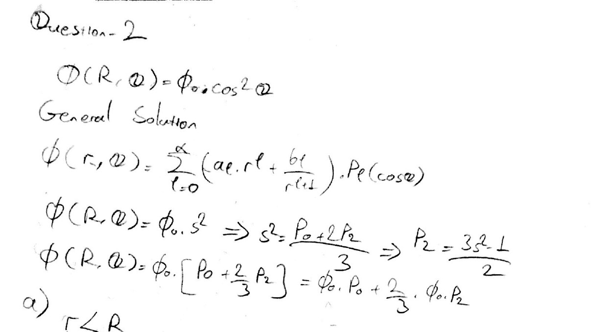
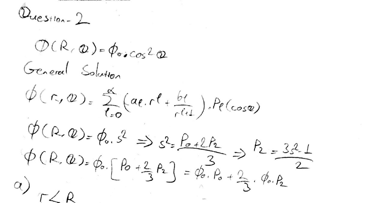
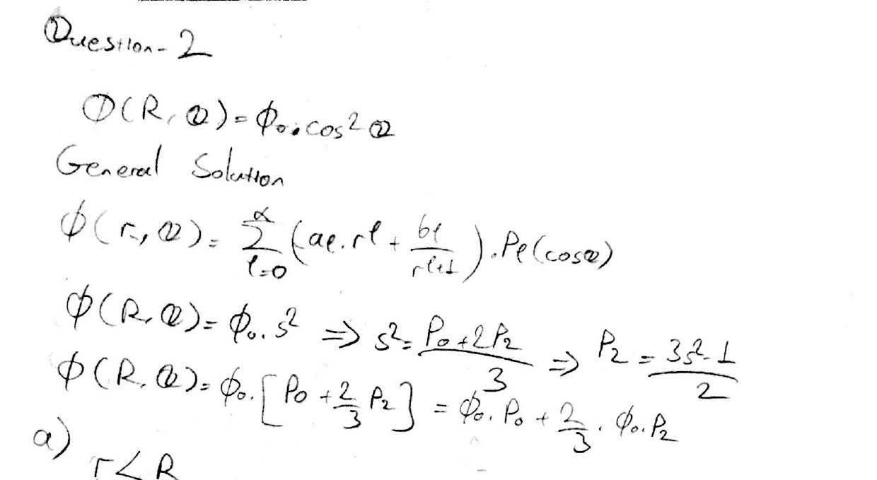
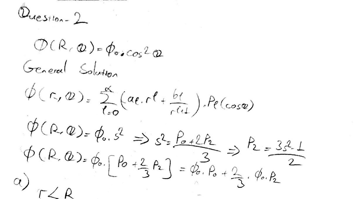
Consider a hollow spherical shell of radius R, with a fixed electro...
Consider a hollow spherical shell of radius R, with a fixed electro...