Subjects
Online Tutoring
Homework Help
Homework Library
Tutors
Online Classes
More
Bookstore
Blog
Technical Tips
FAQ
Contact Us
Get Help Now
Home
Homework Library
Physics
Physics - Other
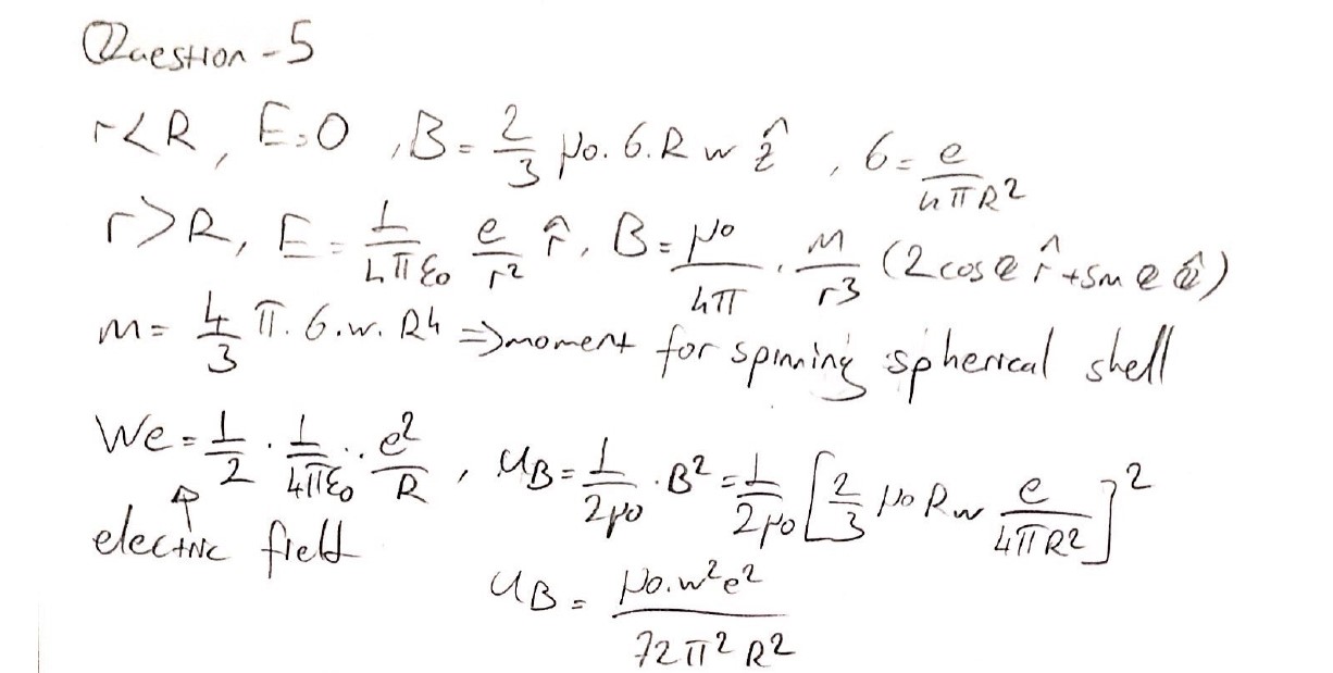
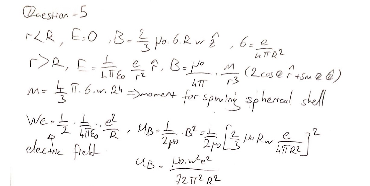
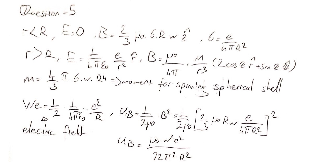
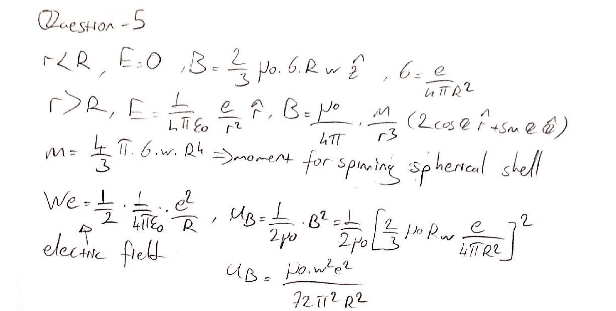
Consider, as a classical model of an electron, a uniformly charged ...
Consider, as a classical model of an electron, a uniformly charged...