Subjects
Online Tutoring
Homework Help
Homework Library
Tutors
Online Classes
More
Bookstore
Blog
Technical Tips
FAQ
Contact Us
Get Help Now
Home
Homework Library
Physics
Physics - Other
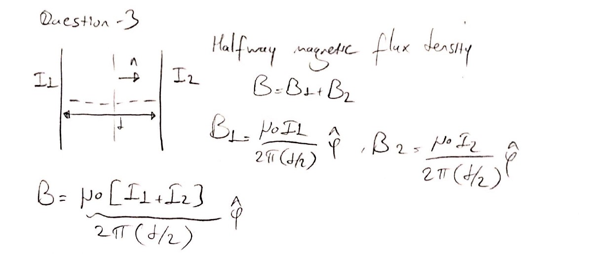
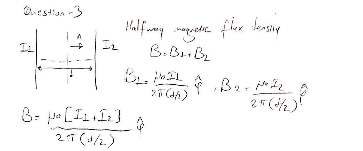
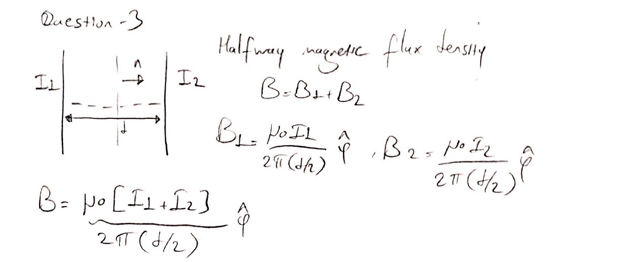
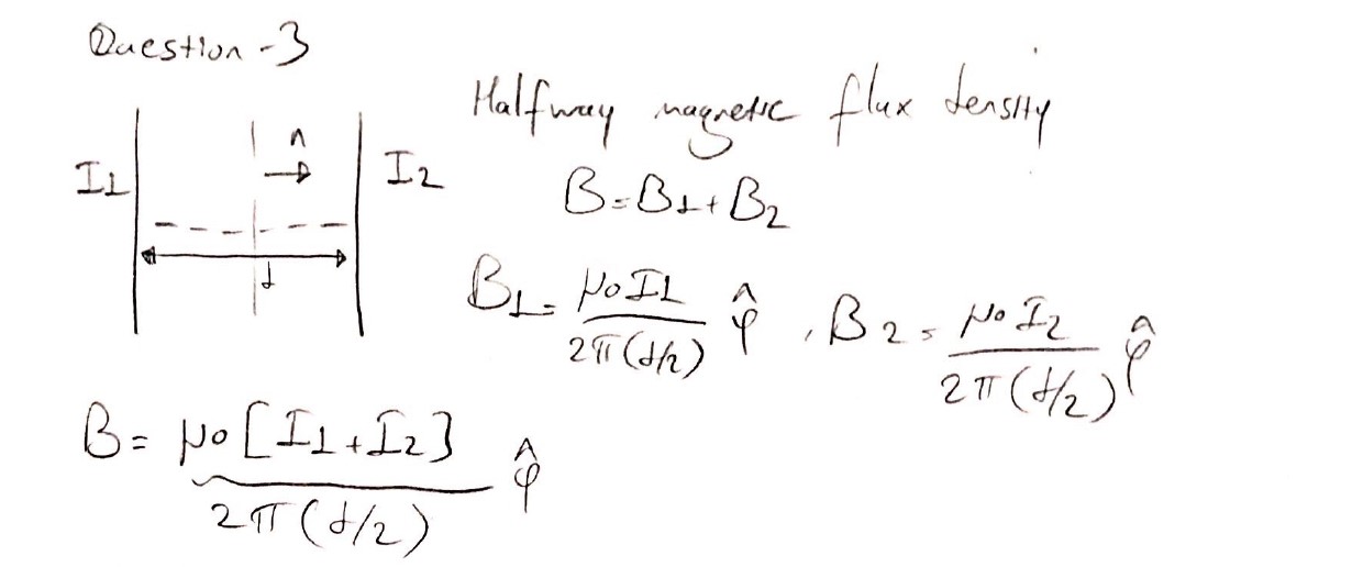
Two infinite parallel wires carrying currents 1 and 12 are separate...
Two infinite parallel wires carrying currents 1 and 12 are separate...