Subjects
Online Tutoring
Homework Help
Homework Library
Tutors
Online Classes
More
Bookstore
Blog
Technical Tips
FAQ
Contact Us
Get Help Now
Home
Homework Library
Physics
Physics - Other
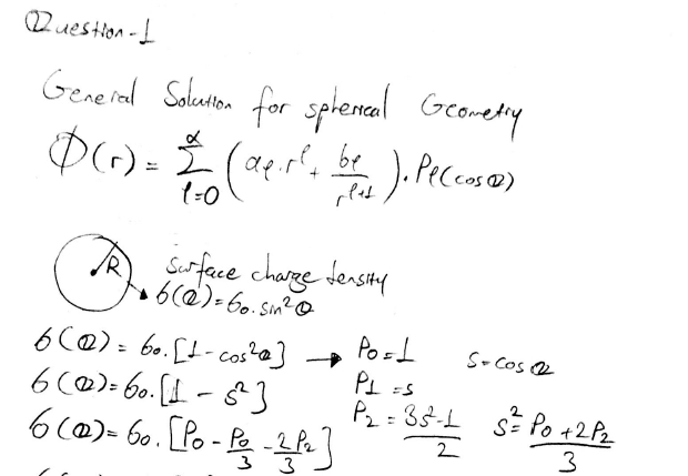
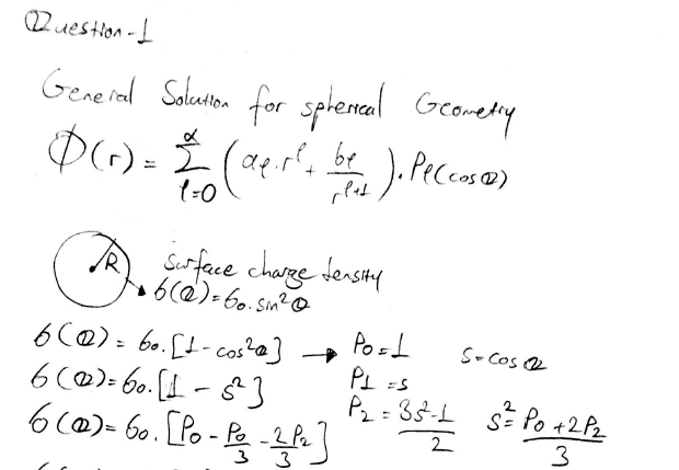
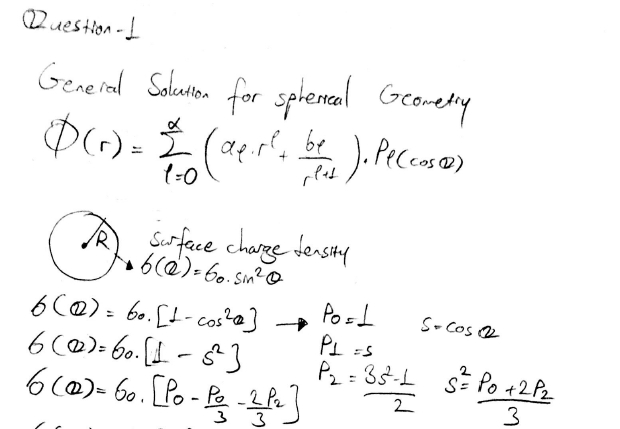
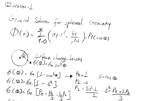
A thin spherical shell of radius R carries a surface charge density...
A thin spherical shell of radius R carries a surface charge density...