Subjects
Online Tutoring
Homework Help
Homework Library
Tutors
Online Classes
More
Bookstore
Blog
Technical Tips
FAQ
Contact Us
Get Help Now
Home
Homework Library
Physics
Physics - Other
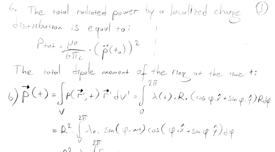
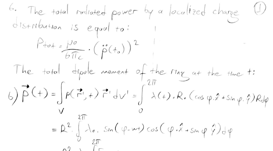
An insulating thin circular ring of radius R lies centered about th...
An insulating thin circular ring of radius R lies centered about th...