Subjects
Online Tutoring
Homework Help
Homework Library
Tutors
Online Classes
More
Bookstore
Blog
Technical Tips
FAQ
Contact Us
Get Help Now
Home
Homework Library
Physics
Physics - Other
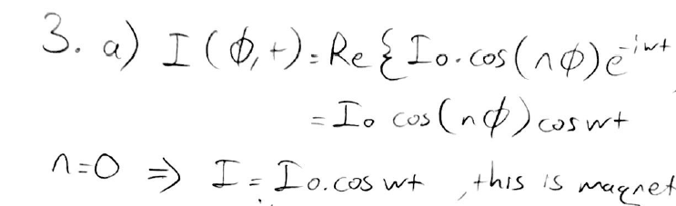
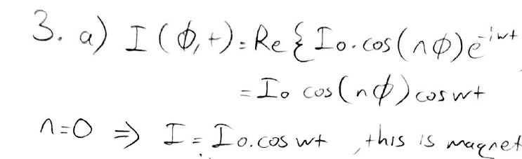
4) [25 points total Consider the radiation emitted by a thin circu...
4) [25 points total Consider the radiation emitted by a thin circu...