Subjects
Online Tutoring
Homework Help
Homework Library
Tutors
Online Classes
More
Bookstore
Blog
Technical Tips
FAQ
Contact Us
Get Help Now
Home
Homework Library
Physics
Physics - Other
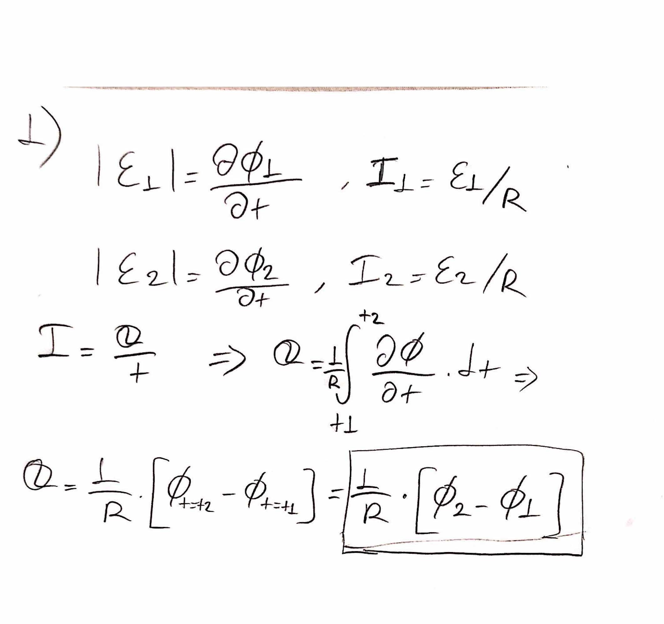
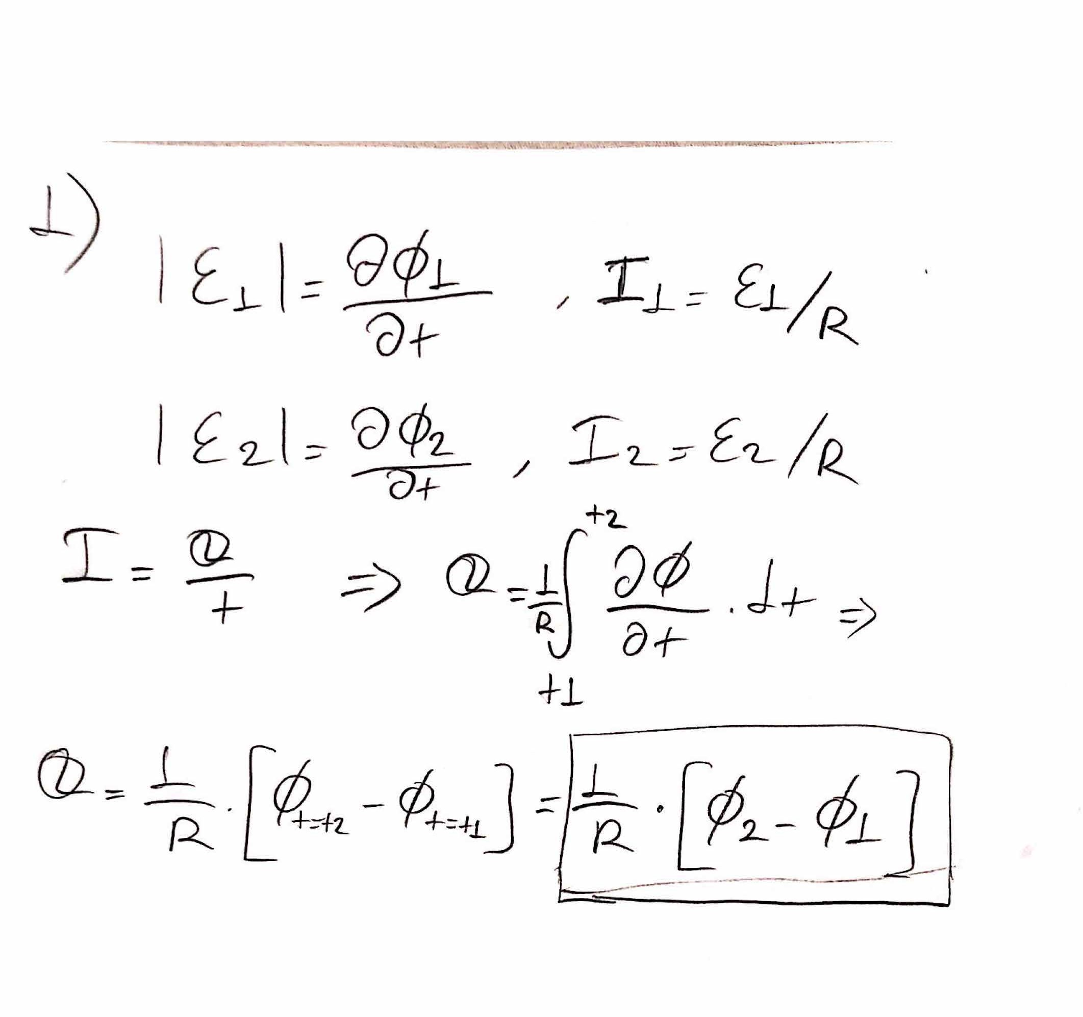
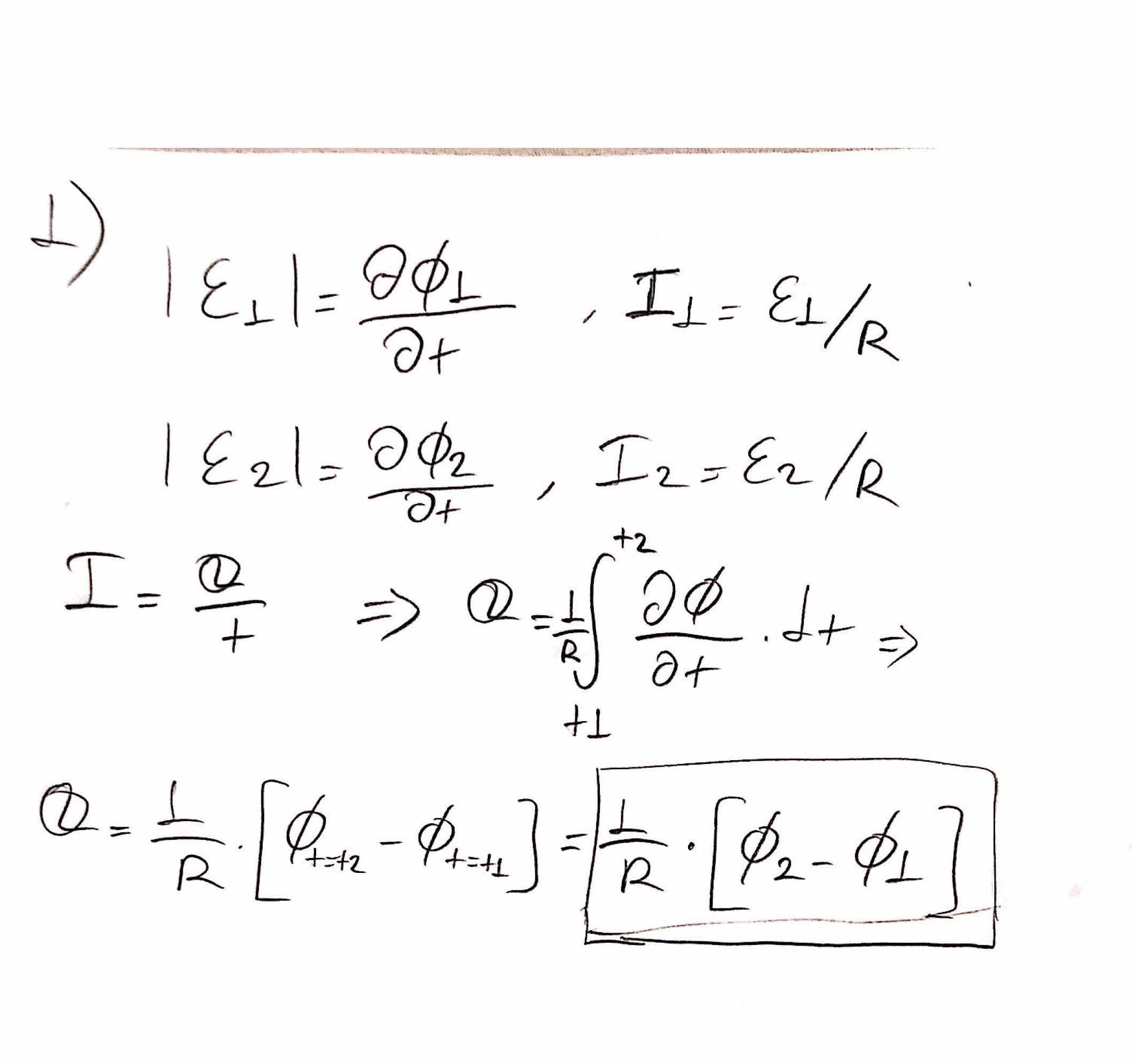
Consider a wire loop, with resistance R and radius Ta, in a I'a m...
Consider a wire loop, with resistance R and radius Ta, in a I'a m...