Subjects
Online Tutoring
Homework Help
Homework Library
Tutors
Online Classes
More
Bookstore
Blog
Technical Tips
FAQ
Contact Us
Get Help Now
Home
Homework Library
Physics
Physics - Other
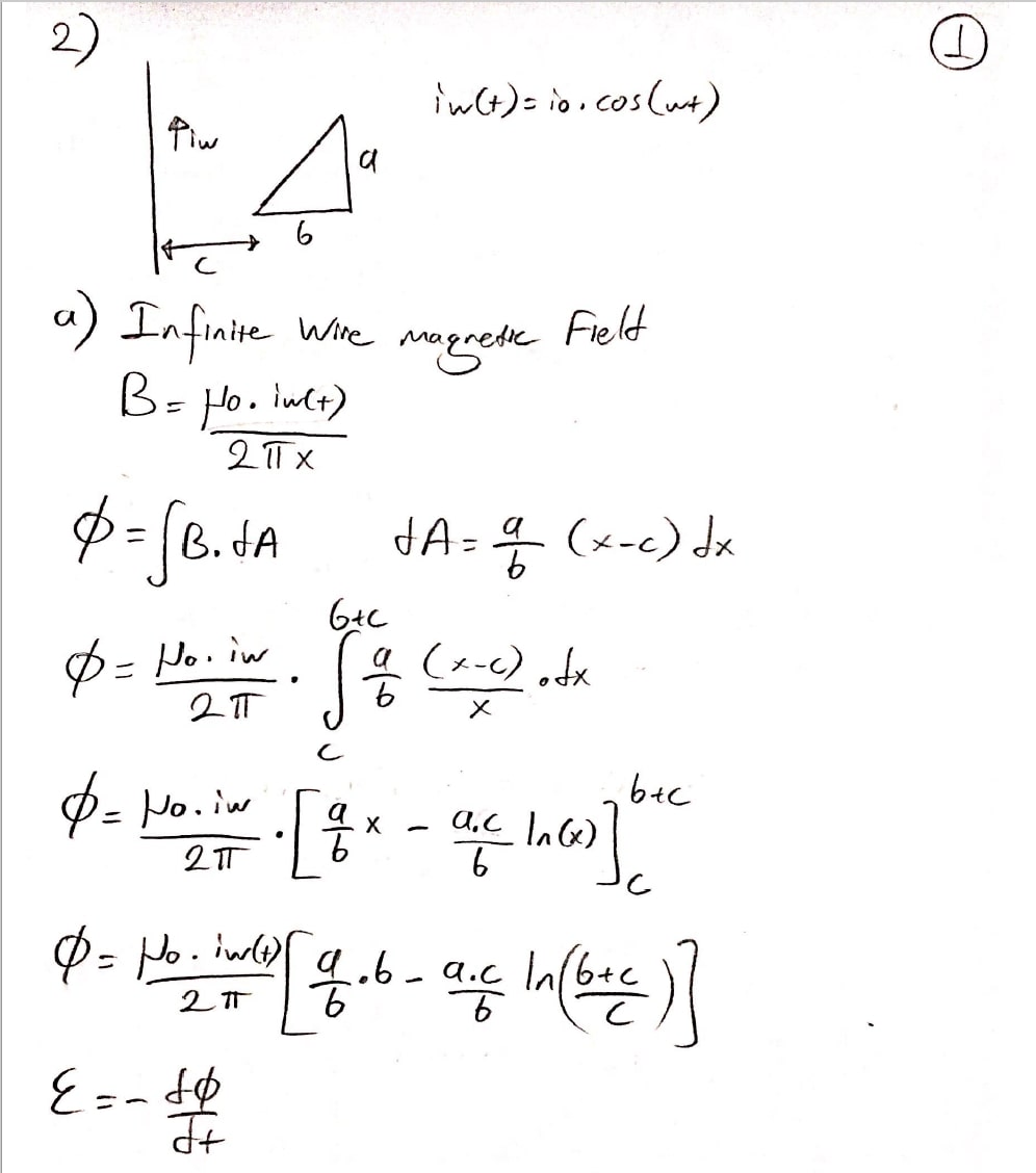
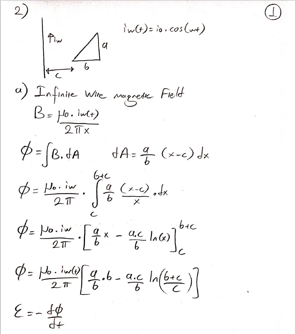
2) An infinite long wire carries a current ð‘–ô€¯ôˆºð‘¡ôˆ» ô€µ...