Subjects
Online Tutoring
Homework Help
Homework Library
Tutors
Online Classes
More
Bookstore
Blog
Technical Tips
FAQ
Contact Us
Get Help Now
Home
Homework Library
Physics
Physics - Other
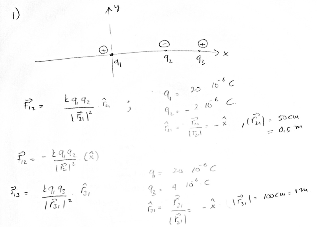
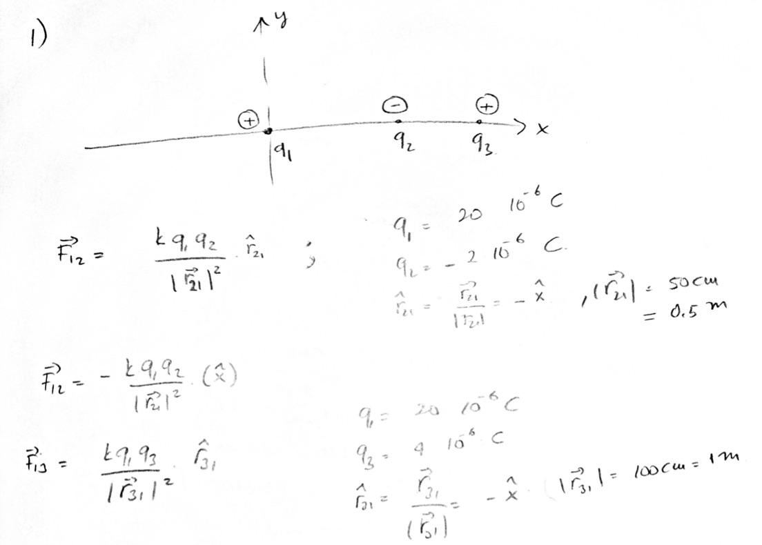
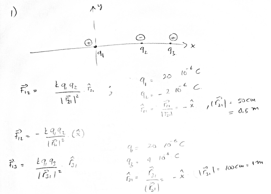
Use the following k= 8.99 x 10 Nm²/C 8.85 1. Threepoint charges...
Use the following k= 8.99 x 10 Nm²/C 8.85 1. Threepoint charges a...