Subjects
Online Tutoring
Homework Help
Homework Library
Tutors
Online Classes
More
Bookstore
Blog
Technical Tips
FAQ
Contact Us
Get Help Now
Home
Homework Library
Physics
Physics - Other
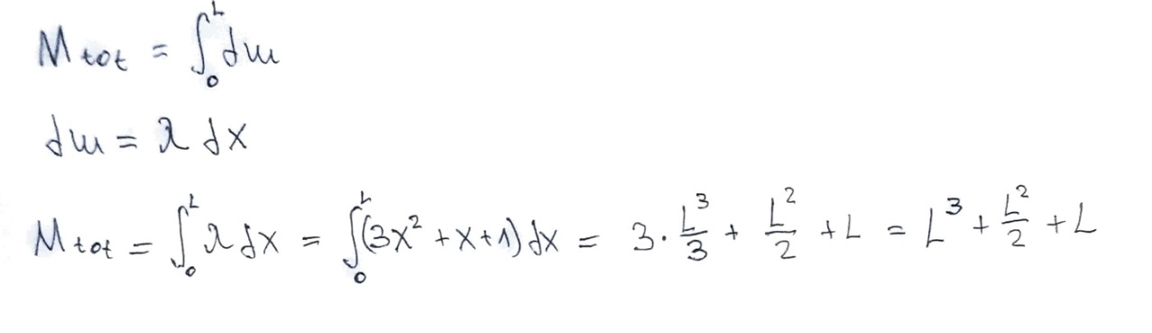
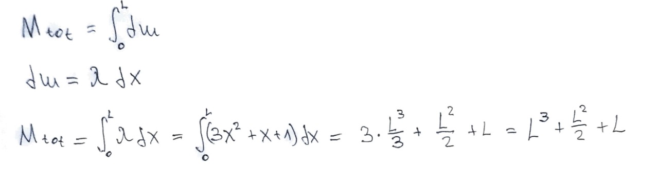
Question 4: Consider the following question: Consider a rod of len...
Question 4: Consider the following question: Consider a rod of len...