Subjects
Online Tutoring
Homework Help
Homework Library
Tutors
Online Classes
More
Bookstore
Blog
Technical Tips
FAQ
Contact Us
Get Help Now
Home
Homework Library
Physics
Physics - Other
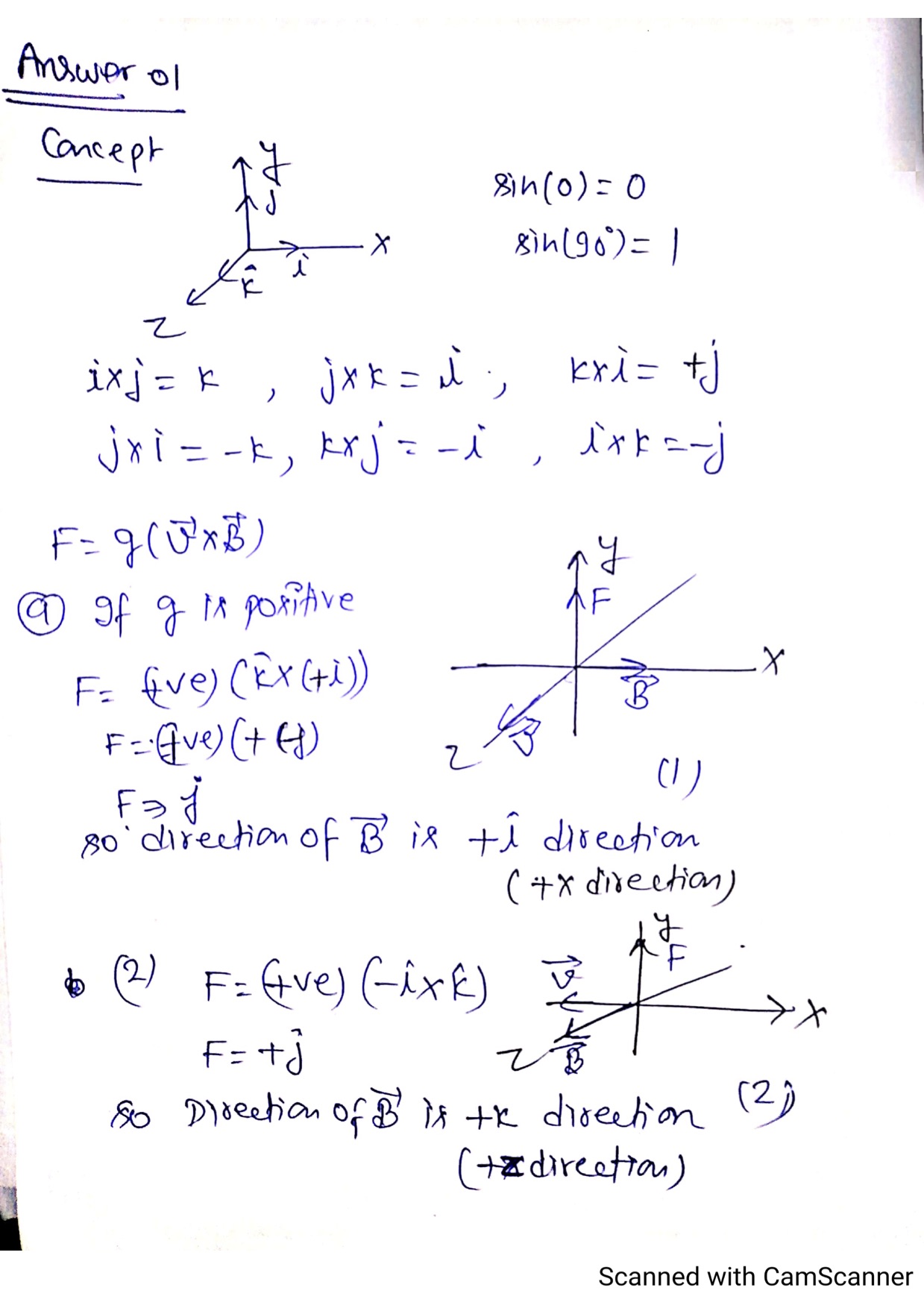
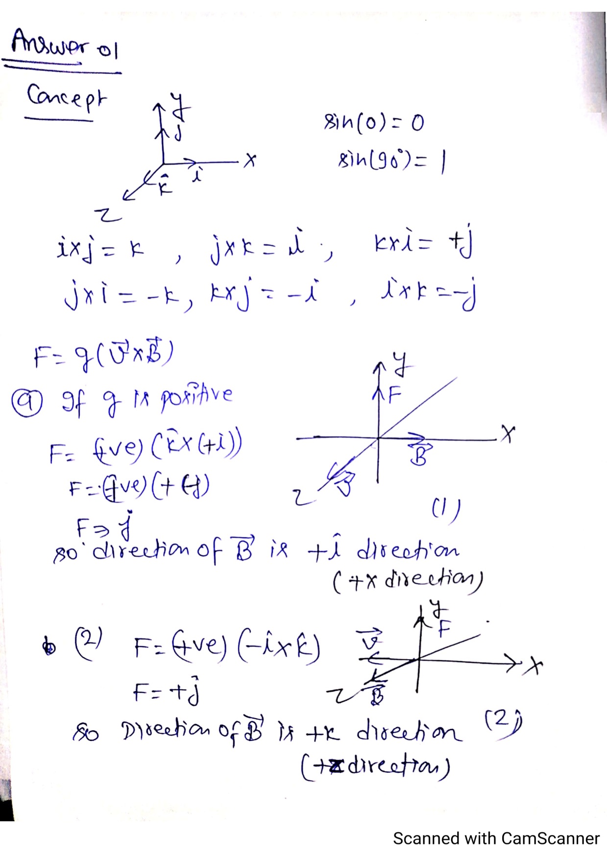
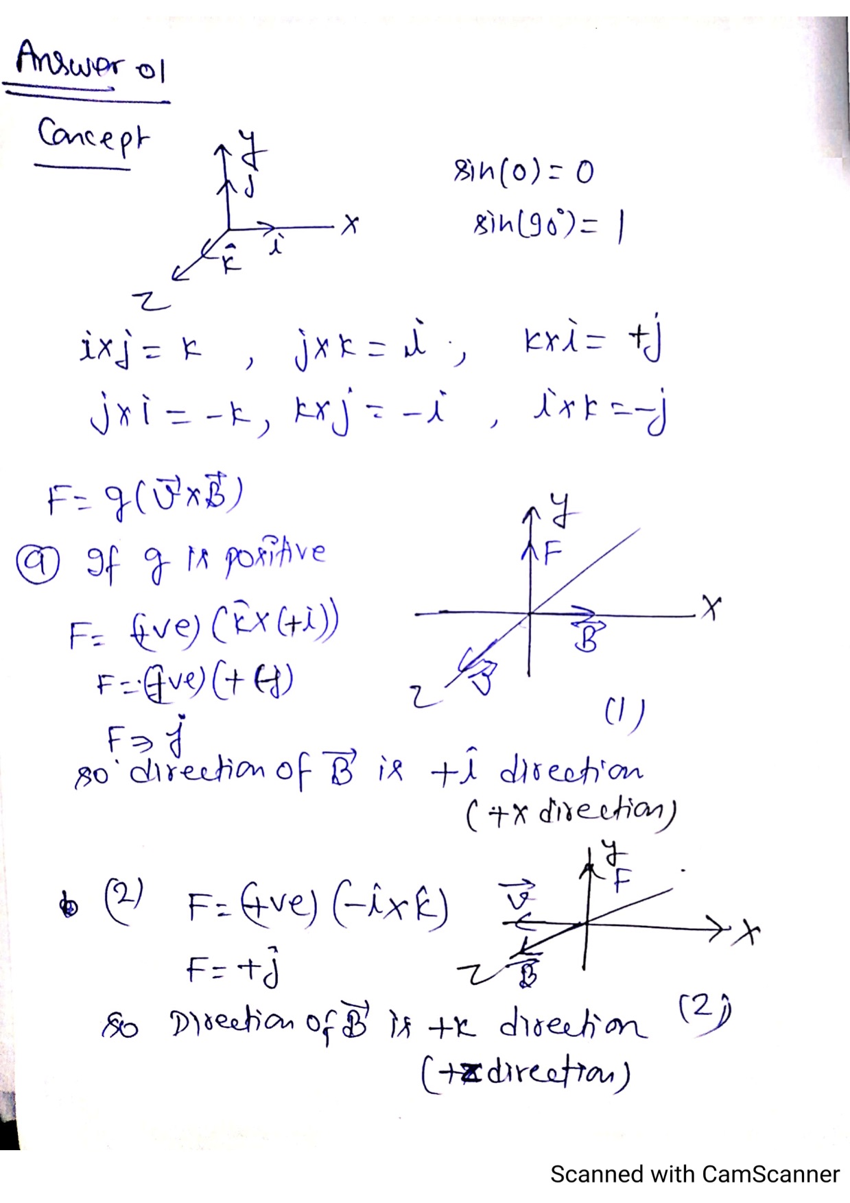
9 If = 19(0xB) q X and is perpendicular to B, , then what is the di...
9 If = 19(0xB) q X and is perpendicular to B, , then what is the di...