Subjects
Online Tutoring
Homework Help
Homework Library
Tutors
Online Classes
More
Bookstore
Blog
Technical Tips
FAQ
Contact Us
Get Help Now
Home
Homework Library
Physics
Physics - Other
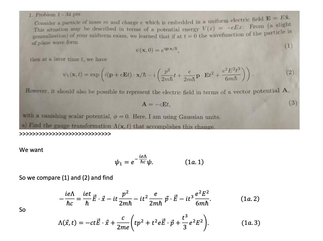
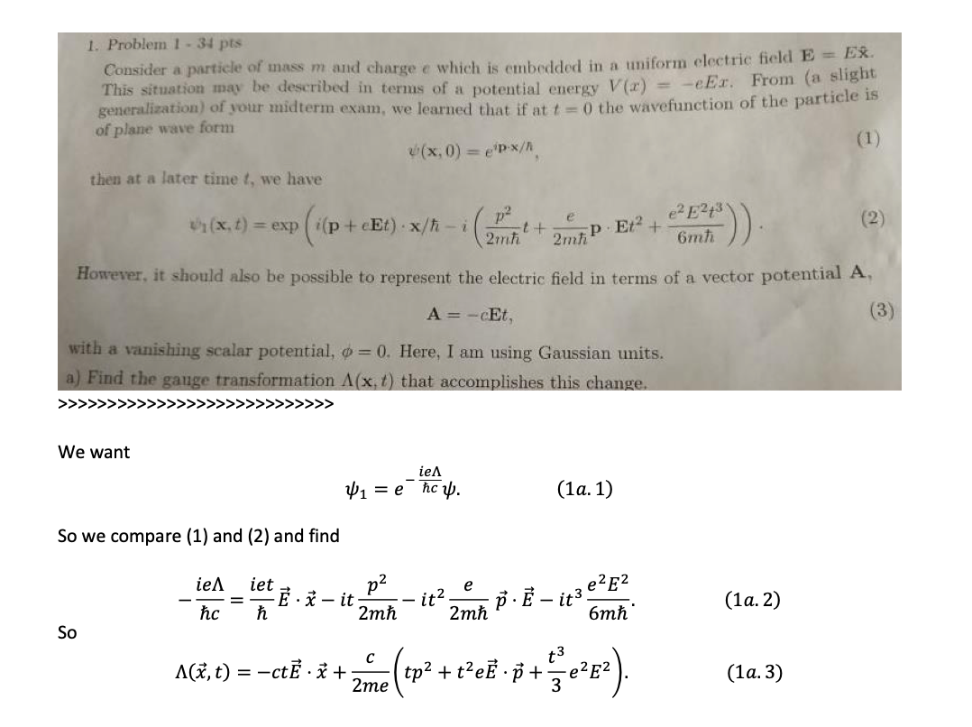
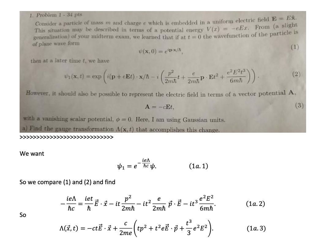
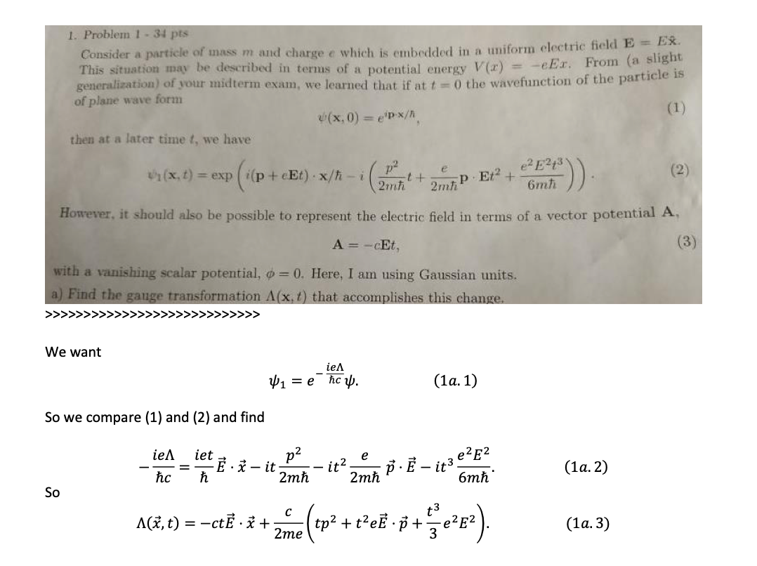
1. Problem 1 - 34 pts Consider a particle and charge e which is em...
1. Problem 1 - 34 pts Consider a particle and charge e which is em...