Subjects
Online Tutoring
Homework Help
Homework Library
Tutors
Online Classes
More
Bookstore
Blog
Technical Tips
FAQ
Contact Us
Get Help Now
Home
Homework Library
Physics
Physics - Other
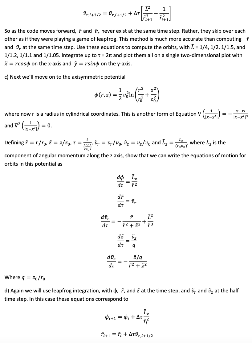
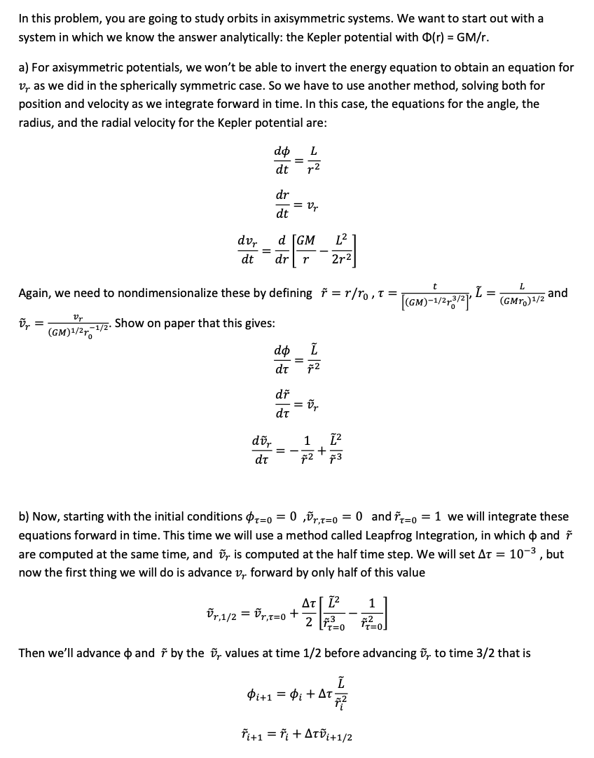
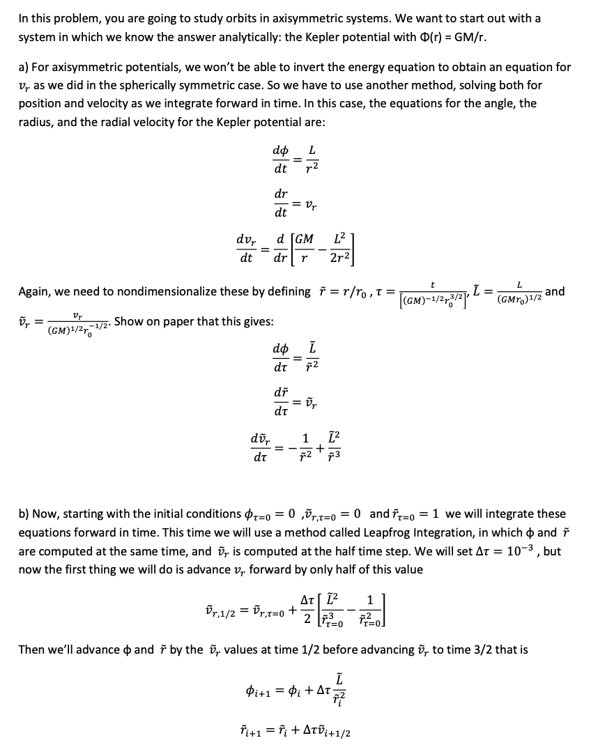
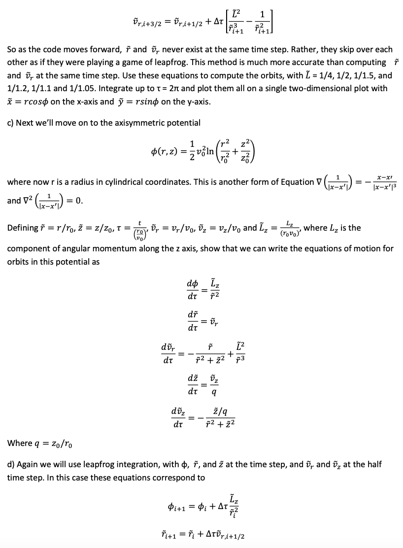
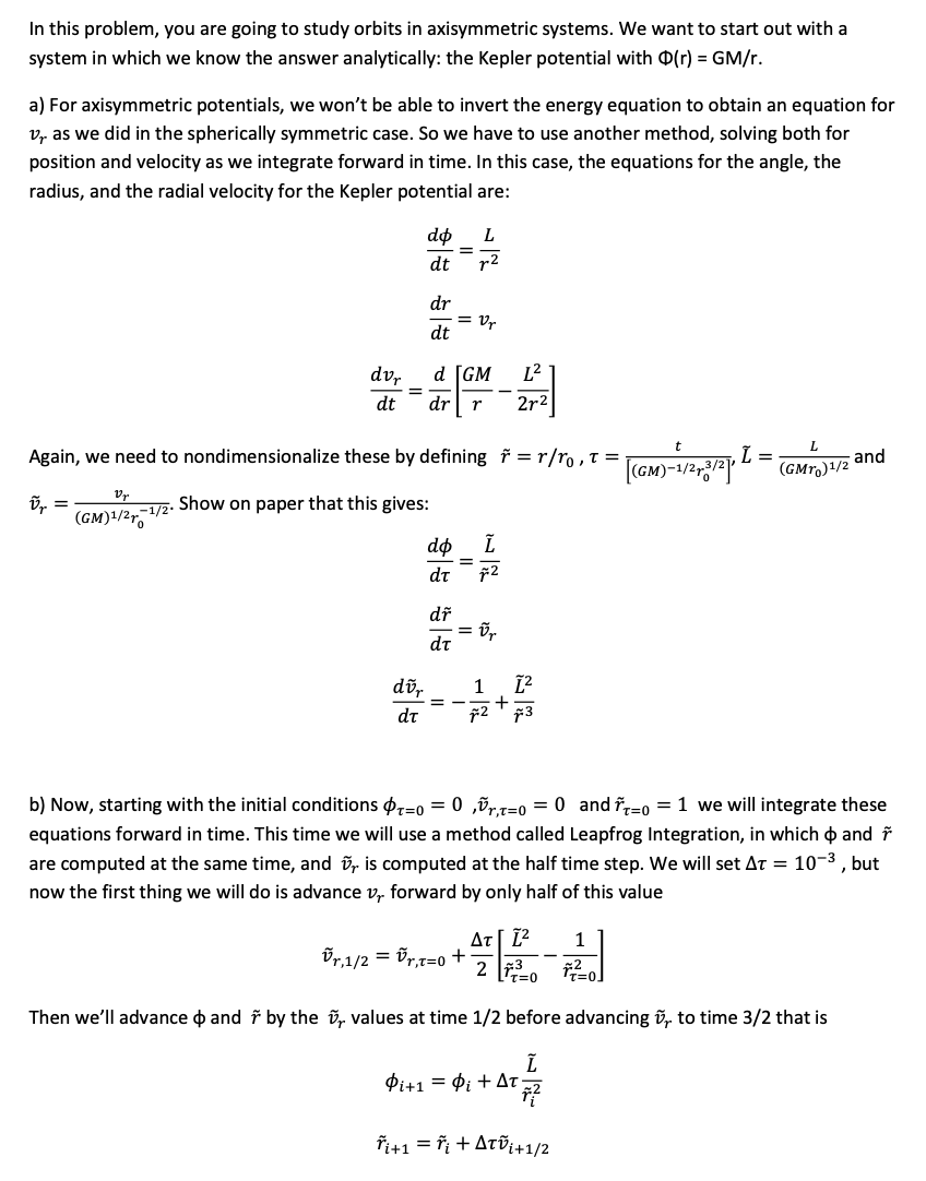
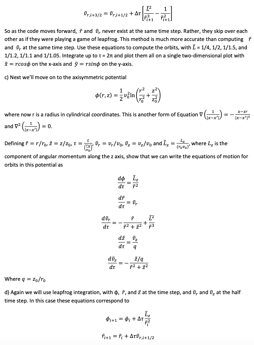
In this problem, you are going to study orbits in axisymmetric syst...
In this problem, you are going to study orbits in axisymmetric syst...