Subjects
Online Tutoring
Homework Help
Homework Library
Tutors
Online Classes
More
Bookstore
Blog
Technical Tips
FAQ
Contact Us
Get Help Now
Home
Homework Library
Physics
Physics - Other
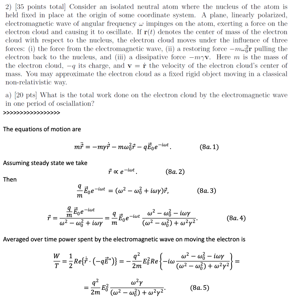
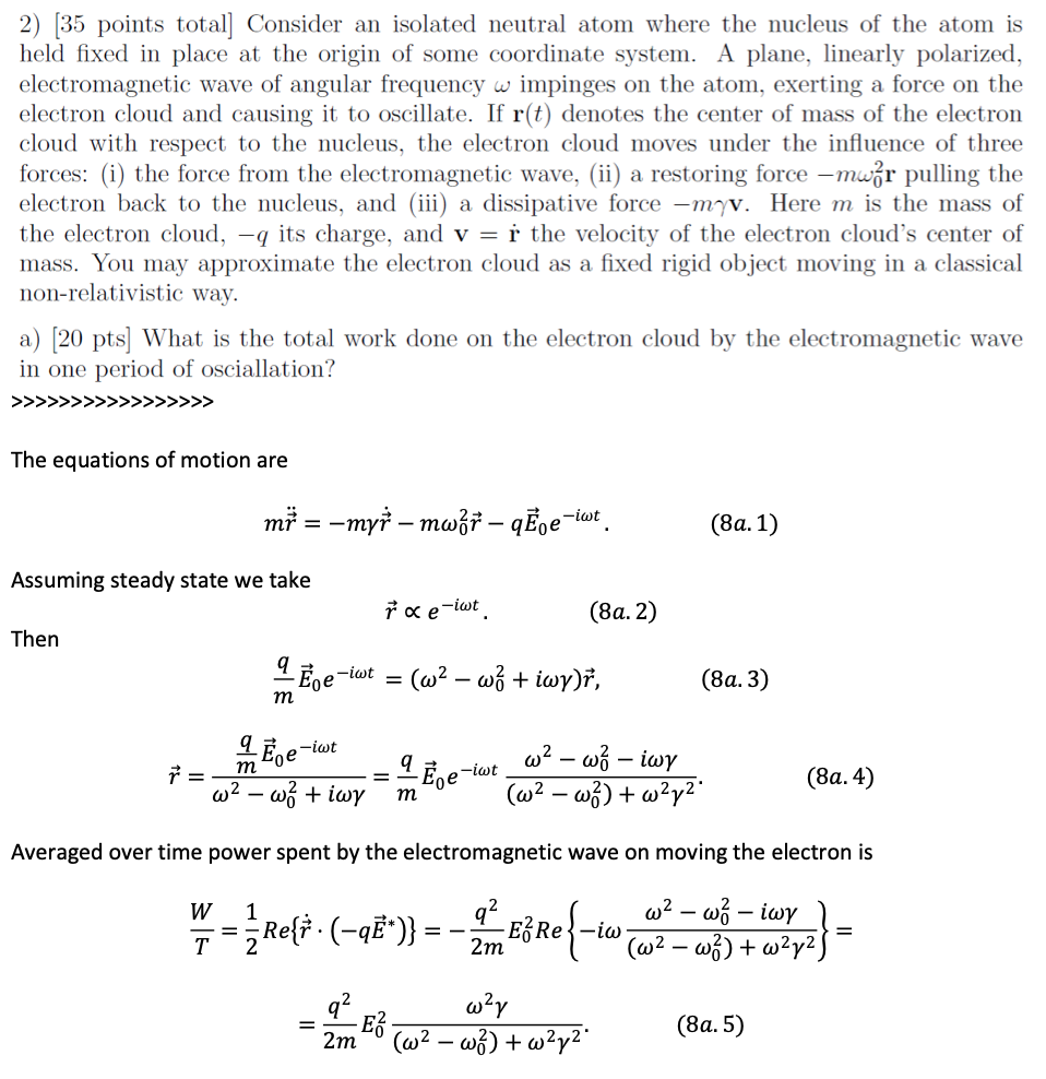
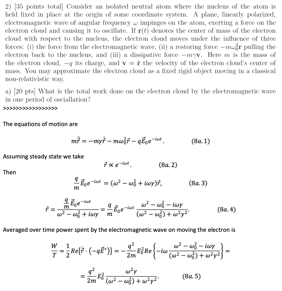
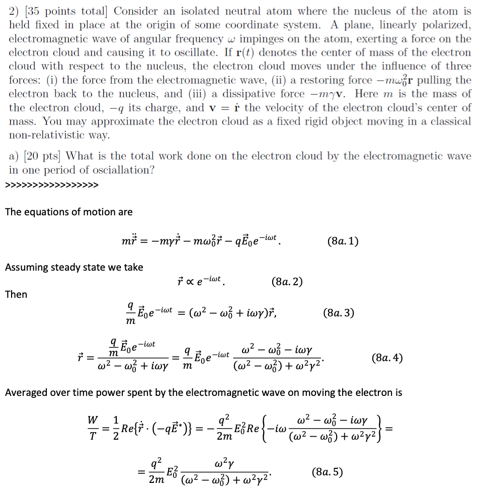
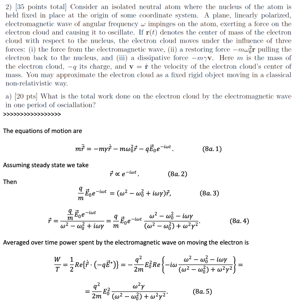
2) 35 points total] Consider an isolated neutral atom where the nuc...
2) 35 points total] Consider an isolated neutral atom where the nuc...