Subjects
Online Tutoring
Homework Help
Homework Library
Tutors
More
Bookstore
Blog
Technical Tips
FAQ
Contact Us
Get Help Now
Home
Homework Library
Physics
Physics - Other
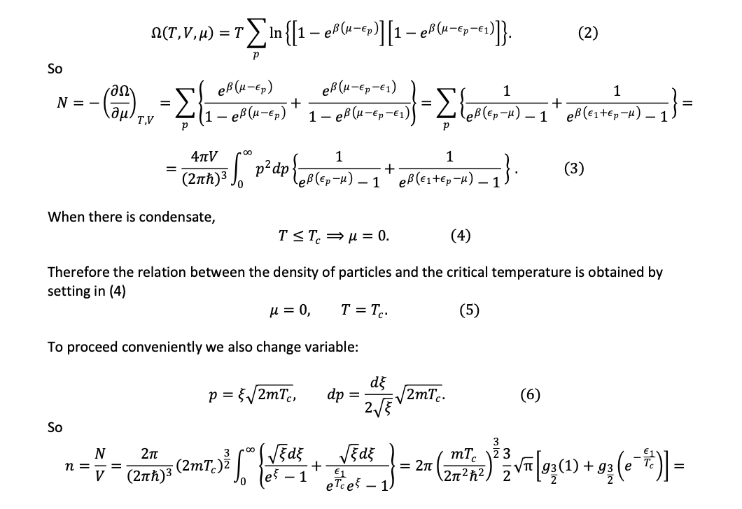
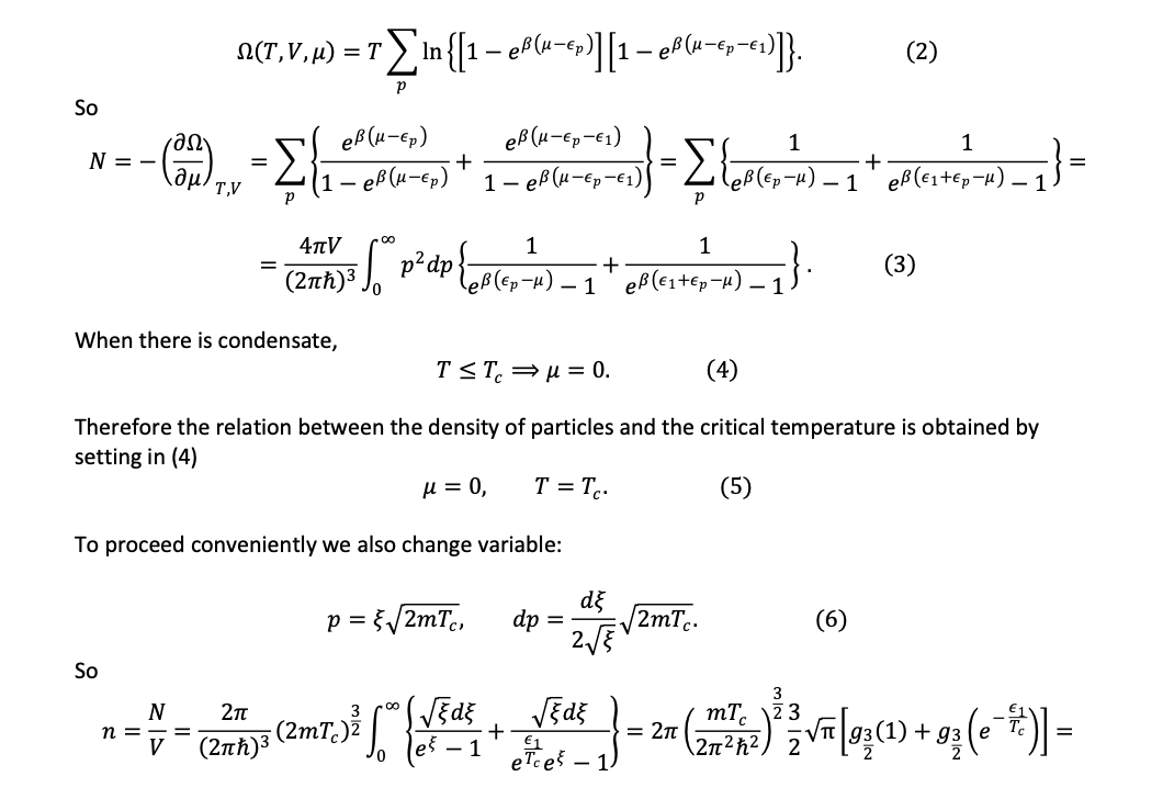
Consider an ideal Bose gas of free, non-relativistic particles in a...
Consider an ideal Bose gas of free, non-relativistic particles in a...