Subjects
Online Tutoring
Homework Help
Homework Library
Tutors
Online Classes
More
Bookstore
Blog
Technical Tips
FAQ
Contact Us
Get Help Now
Home
Homework Library
Physics
Physics - Other
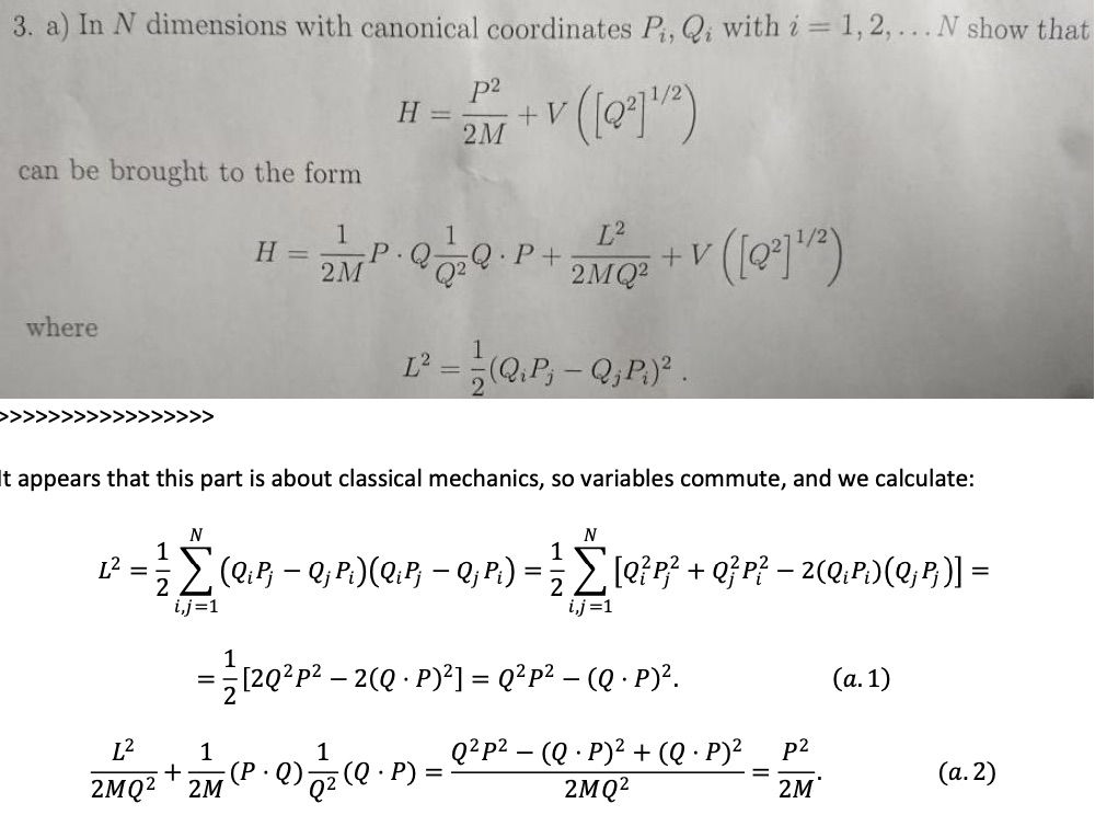
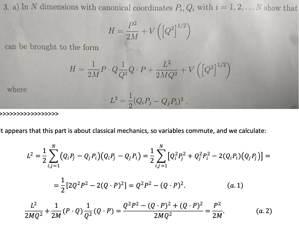
3. a) In N dimensions with canonical coordinates Pi, Qi with i = 1,...
3. a) In N dimensions with canonical coordinates Pi, Qi with i = 1,...