Subjects
Online Tutoring
Homework Help
Homework Library
Tutors
Online Classes
More
Bookstore
Blog
Technical Tips
FAQ
Contact Us
Get Help Now
Home
Homework Library
Physics
Physics - Other
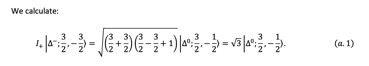
Considering isospin states, show that the ratio of the branching fr...
Considering isospin states, show that the ratio of the branching fr...